Предмет: Физика,
автор: serezhenkazhurav199
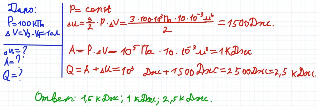
Помогите решить задачу по физике
Приложения:
Ответы
Автор ответа:
0
**************************************
Приложения:
Похожие вопросы
Предмет: Физика,
автор: sadhowt
Предмет: Химия,
автор: glebbulgakov4378
Предмет: Другие предметы,
автор: isaevakira05
Предмет: Математика,
автор: Cat1707ahsam
Предмет: Математика,
автор: Anechka0505