Предмет: Алгебра,
автор: llkk2003
Решите неравенства методом интервалов
Приложения:
maksimcat:
а) и б) могу написать решение
Ответы
Автор ответа:
1
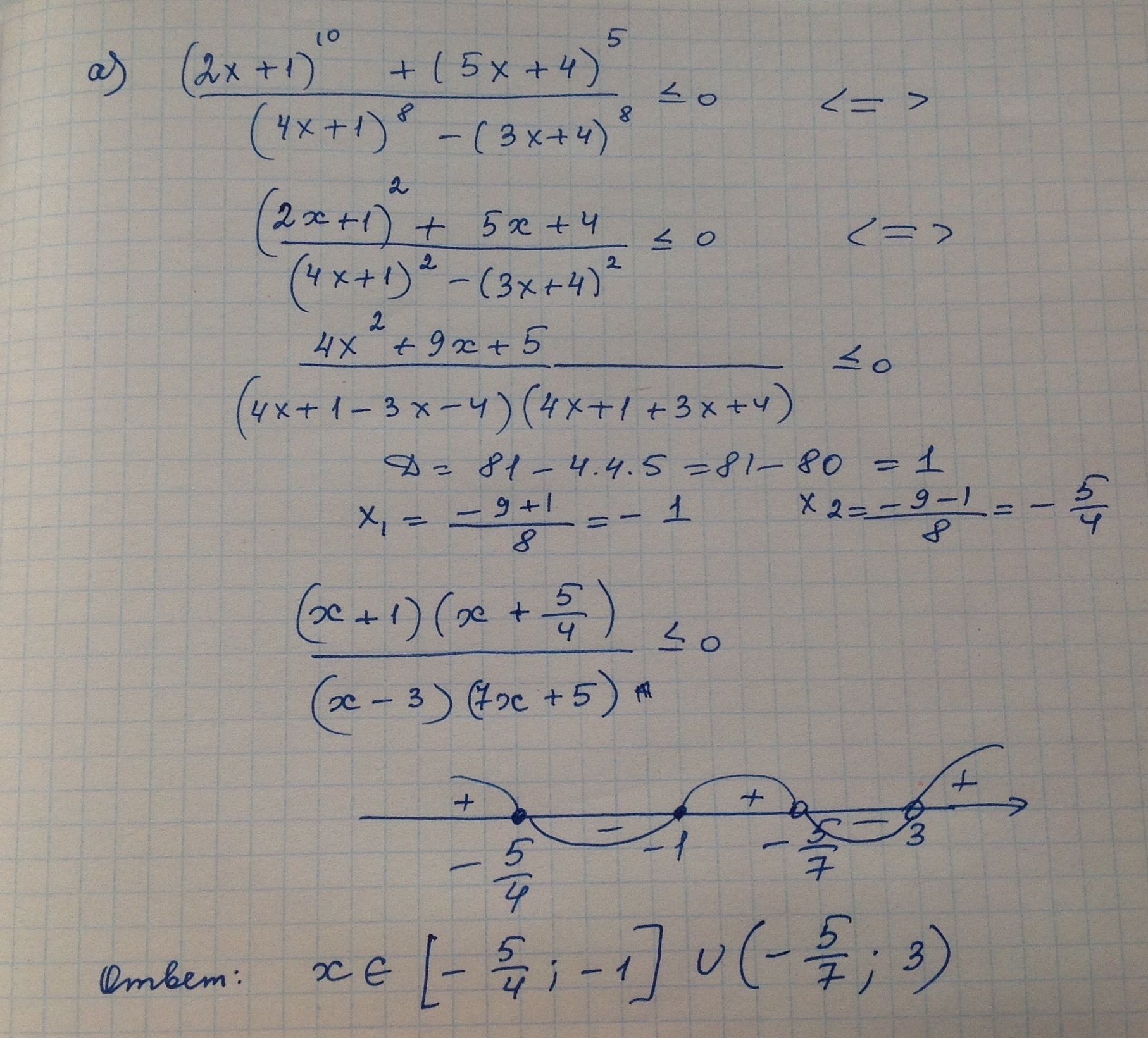
ответ на фото////////////////
Приложения:
Объясните, как из 10 степени получилась 2 и т. д.
разность (сумму) одинаковых нечётных степеней двух выраже-ний можно заменять разностью (суммой) этих выражений; разность
одинаковых чётных степеней двух выражений можно заменять разно-
стью квадратов этих выражений
одинаковых чётных степеней двух выражений можно заменять разно-
стью квадратов этих выражений
Числитель равен сумме пятых степеней выражений
(2x +1)^2 и 5x +4, поэтому его можно заменить суммой этих выражений. Знаменатель равен разности восьмых степеней выражений 4x +1 и 3x +4, поэтому его можно заменить разностью квадратов этих выражений
(2x +1)^2 и 5x +4, поэтому его можно заменить суммой этих выражений. Знаменатель равен разности восьмых степеней выражений 4x +1 и 3x +4, поэтому его можно заменить разностью квадратов этих выражений
метод знакотождественных множителей
http://prntscr.com/m39i18
Спасибо
не могли бы еще букву в решить?
или хотя бы принцип
Принцип тот же , но мне кажется, что в числителе ошибка в условии
Похожие вопросы
Предмет: Русский язык,
автор: dkazanchuk
Предмет: Математика,
автор: sasagornostaj2
Предмет: Математика,
автор: amantaevakarina7
Предмет: Математика,
автор: Вик809
Предмет: Литература,
автор: юля1378