Предмет: Математика, автор: Diana5D

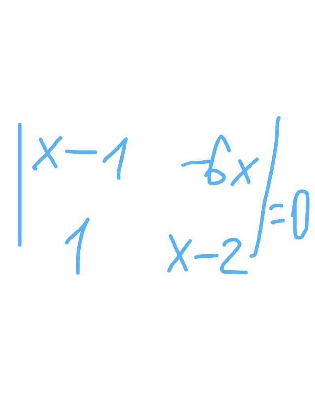
Решите уравнение(см.рис.)

Приложения:

Ответы

Автор ответа: eugenesparrow
1
ответ x=-2и -1..........
Приложения:
Похожие вопросы
Предмет: Русский язык, автор: BoT0oO
Диктант

Белка лежала в ветвях старой ели в своем гнездышке. Вдруг она услышала в лесу странный шум. Раздавались чьи-то голоса, еле-еле слышался какой-то гул. Нежданно-негаданно упало дерево, а за ним еще несколько деревьев.
Белка выглянула из гнезда и посмотрела вниз. К ее дереву подошел некто. В руках у него что-то блестело. Люди приложили к стволу блестящий предмет. Дерево задрожало, закачалось и стало падать.
А белка была уже далеко. Изо всех сил помчалась она в самую глушь леса. Где же спрятаться можно было белочке? Начало смеркаться. Белочка по-человечьи приуныла, но вдруг заметила у лесной сторожки птичий домик. Белочка, как же тебе повезло! Никого в нем не было. Лучшей квартиры искать нечего. Белочка свернулась в клубочек, укрылась пушистым хвостиком и уснула I вариант
II вариант
1) Озаглавьте текст.
2) Выпишите местоимения, определите их разряд.
3) Сделайте синтаксический разбор предложения:
Белочка свернулась в клубочек, укрылась пушистым хвостиком и уснула.
4) Составьте 1 тонкий и 1 толстый вопрос по тексту.
5) Найдите наречия, которые пишутся через дефис;
6) Найдите и определите риторические фигуры
Предмет: Математика, автор: 4клашка1