Предмет: Геометрия, автор: kostyazinovev04

дсва--трапеция . Найти:площадь . Число 31 написал я . Оно не должно быть в решении

Приложения:

vanyamilin: Рисунок вошёл не полностью
666jaqz999: Это все условие? Одно основание и угол?
kostyazinovev04: да
kostyazinovev04: Дано: СД=СБ , угол Б=135 градусов
kostyazinovev04: я сейчас поменяю рисунок

Ответы

Автор ответа: 666jaqz999
0

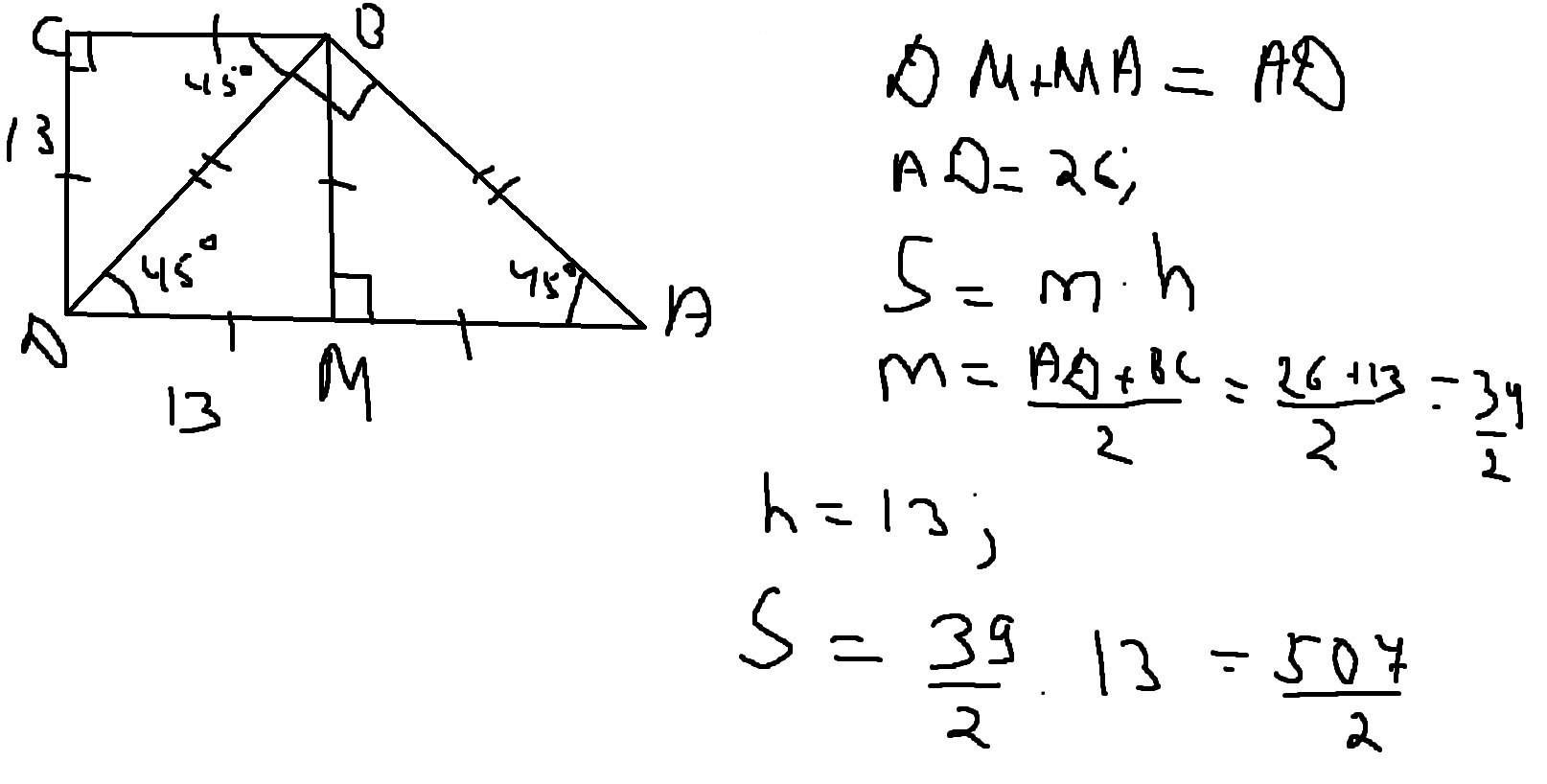
Решение во вложении. В прямоугольнике накрест лежащие углы при диагонали равны, отсюда <CBD = <BDA = 45°

Приложения:

kostyazinovev04: пожалуйста дай решение в коментарии
kostyazinovev04: рекламный ролик не загружается для просмотра ответа
kostyazinovev04: эй
666jaqz999: AD = DM+AM; AD = 26; S = m*h, где m - средняя линия, m = (AD+BC)/2 = 26+13/2 = 39/2, s = 39/2 * 13 = 507/2
kostyazinovev04: спасибо
Похожие вопросы
Предмет: Математика, автор: эмиль051