Предмет: Алгебра,
автор: gerold77
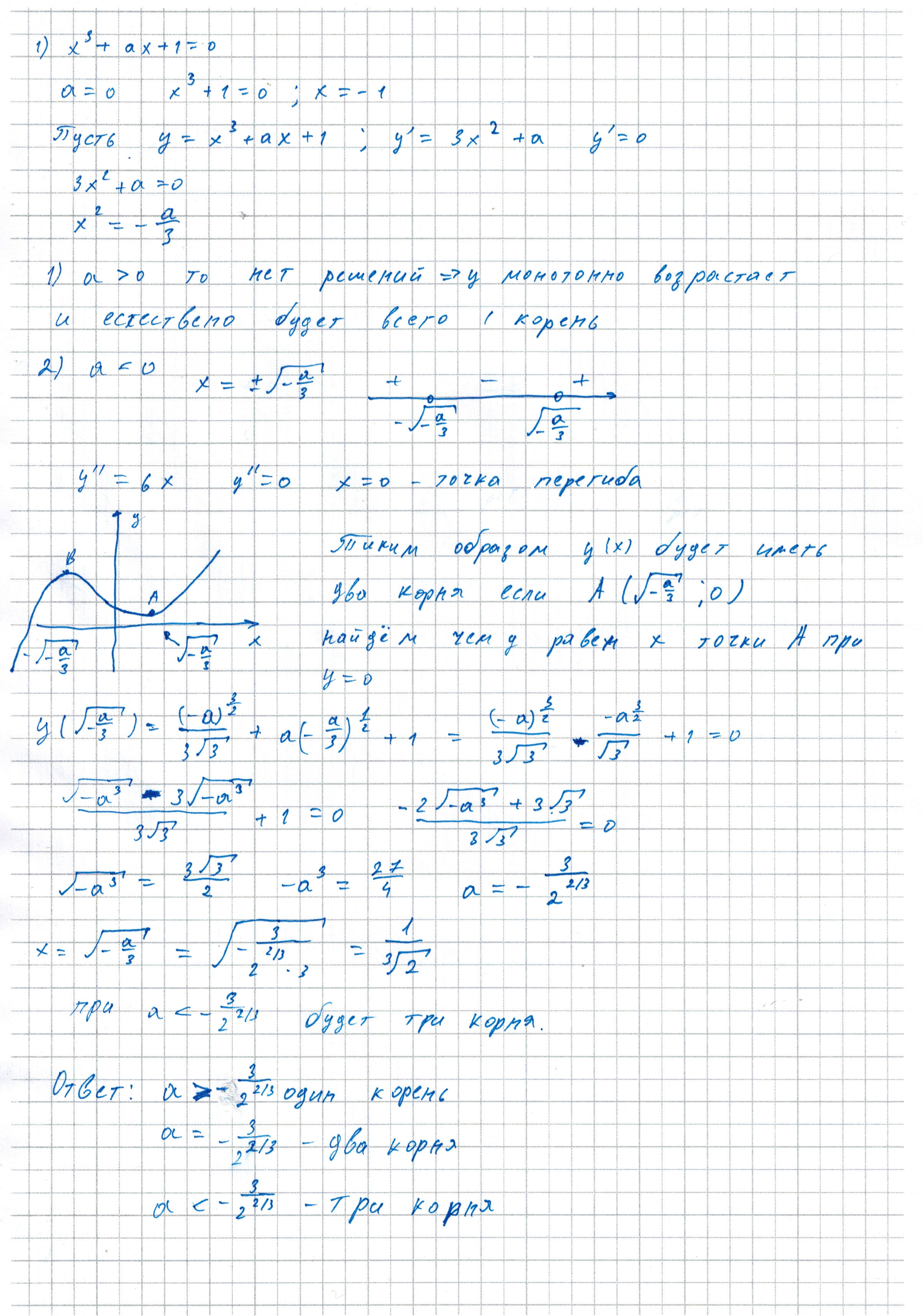
сколько корней в зависимости от a имеет уравнение

Ответы
Автор ответа:
0
Добрый день! Решение см. фото.
Приложения:
Похожие вопросы
Предмет: История,
автор: zzodzoll
Предмет: Алгебра,
автор: SofyaShadrina2019
Предмет: Математика,
автор: Аноним
Предмет: Информатика,
автор: Ангелина200111111
Предмет: Математика,
автор: БобровникНиколай