Предмет: Математика, автор: dobuyol

СРОЧНО ПОМОГИТЕ
ПЖЖЖЖЖЖЖЖЖ

Приложения:

Ответы

Автор ответа: lingvini2013
0

Ответ:

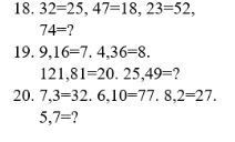
18. 81; 19. 12; 20.

Пошаговое объяснение:

18. ~ab = ~cd, где a = c и b = d =>

3 = 2; 2 = 5; 4 = 1; 7 = 8; 2 = 5; 3 = 2;

74 = ~(7=8)(4=1) => 81

19. ~a^2,b^2 = a+b =>

25,49 = √25 + √49 = 5 + 7 = 12

20. Без понятия пока что

Похожие вопросы
Предмет: Алгебра, автор: aleksashenka200988
Предмет: География, автор: dinusja14