Предмет: Алгебра,
автор: maybeshayganov
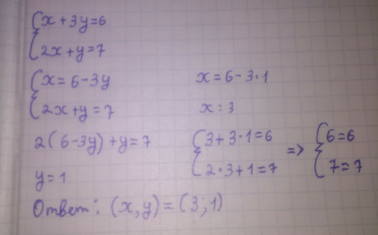
решите графически систему уравнения {x+3y=6 {2x+y=7
Ответы
Автор ответа:
21
Решение на фото, не забудь поставить лайк, и сделать мой ответ - лучшим.
Приложения:
Похожие вопросы
Предмет: Қазақ тiлi,
автор: erbolattojbaev57
Предмет: Музыка,
автор: lisahorina
Предмет: Геометрия,
автор: adamanovaliliya550
Предмет: Информатика,
автор: dlesha2014
Предмет: Алгебра,
автор: morozanastasi1