Предмет: Математика,
автор: gfsklutg
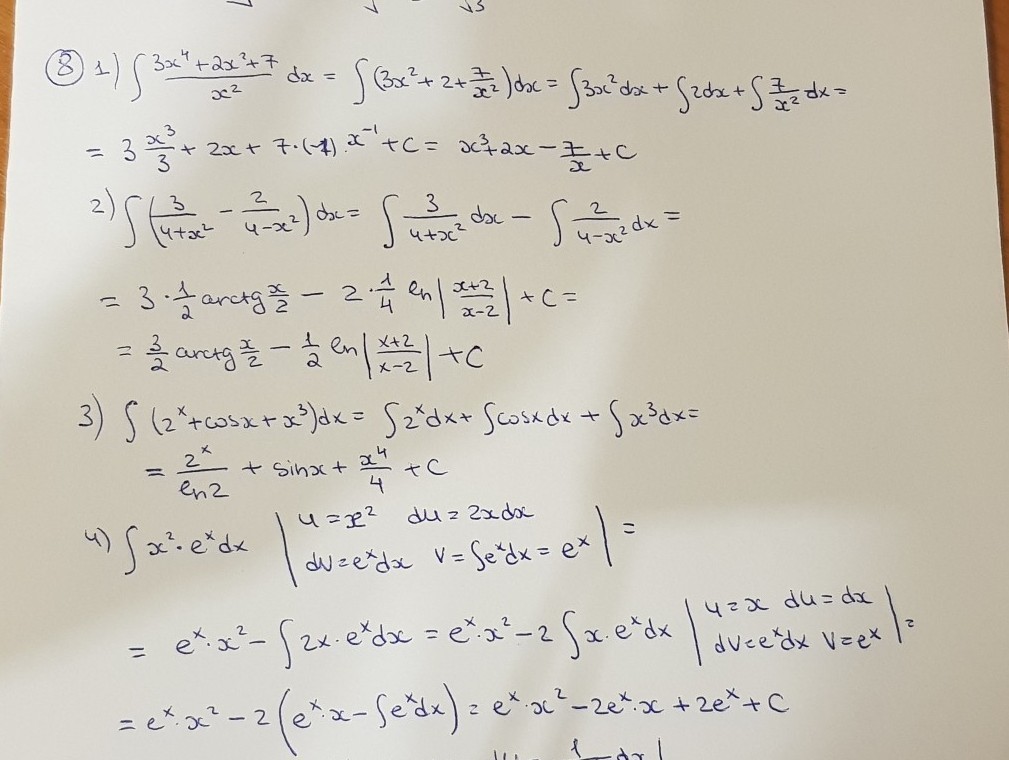
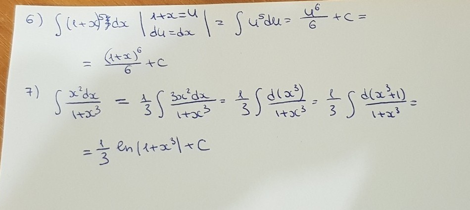
помогите решить интегралы!!!
Приложения:
Ответы
Автор ответа:
1
решение на фотографиях
Приложения:
Похожие вопросы
Предмет: Химия,
автор: novruzovaaisel
Предмет: Химия,
автор: artemcidorin
Предмет: Информатика,
автор: gidro503
Предмет: Математика,
автор: daniilvekov