Предмет: Алгебра,
автор: andreonackooxechl
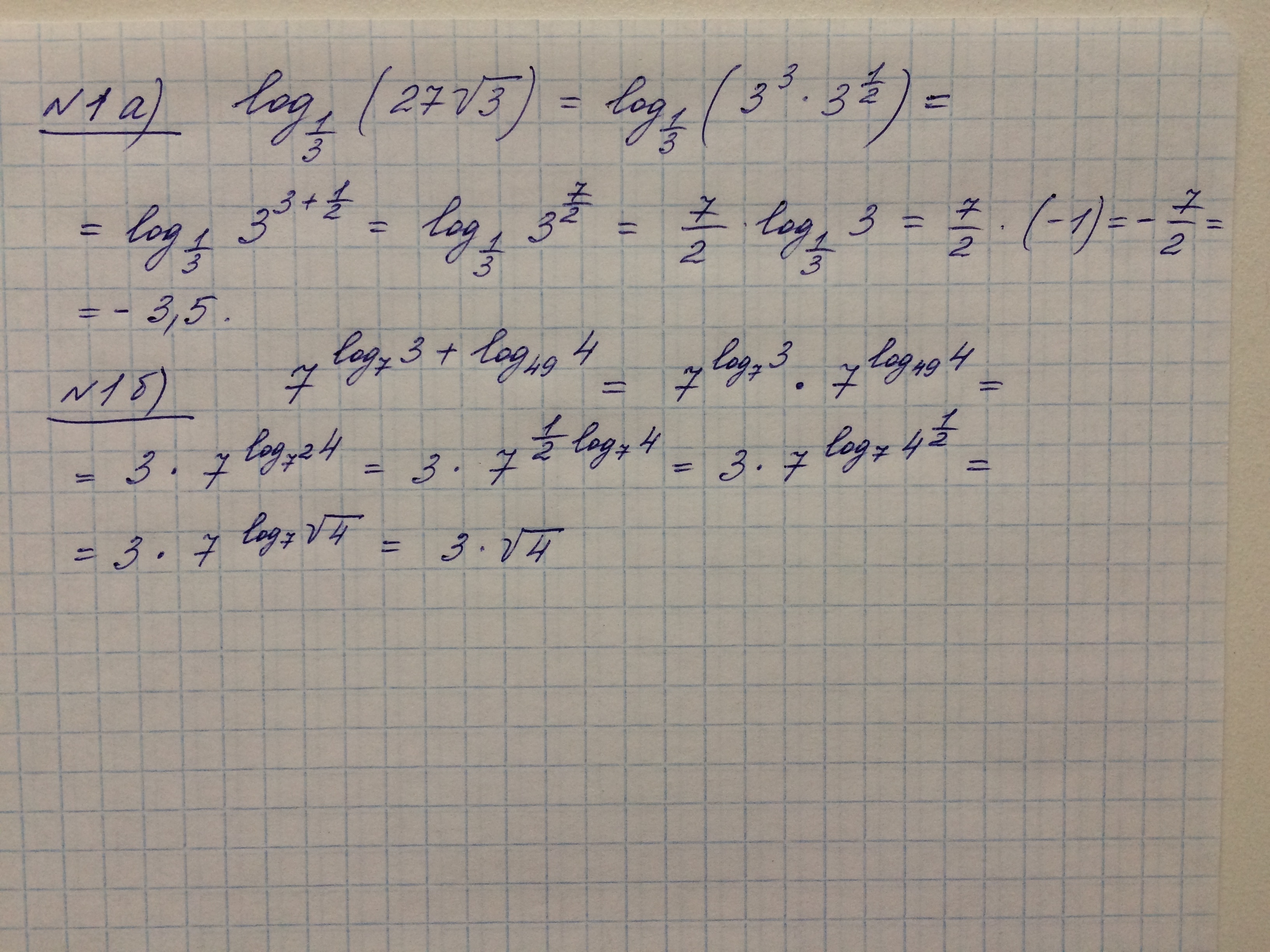
7log7^3+log49^4=
log по основанию 1/3 (27 корней из 3)=
Приложения:
Ответы
Автор ответа:
0
Добрый день! Решение во вложенном файле.
Приложения:
Похожие вопросы
Предмет: Математика,
автор: fortiktokvoodik
Предмет: Математика,
автор: elviraartuskina2
Предмет: Математика,
автор: Аноним
Предмет: Алгебра,
автор: VladaB2