Предмет: Экономика,
автор: brooklyn346
Помогите пожалуйста,очень срочно! Решению+ ответ
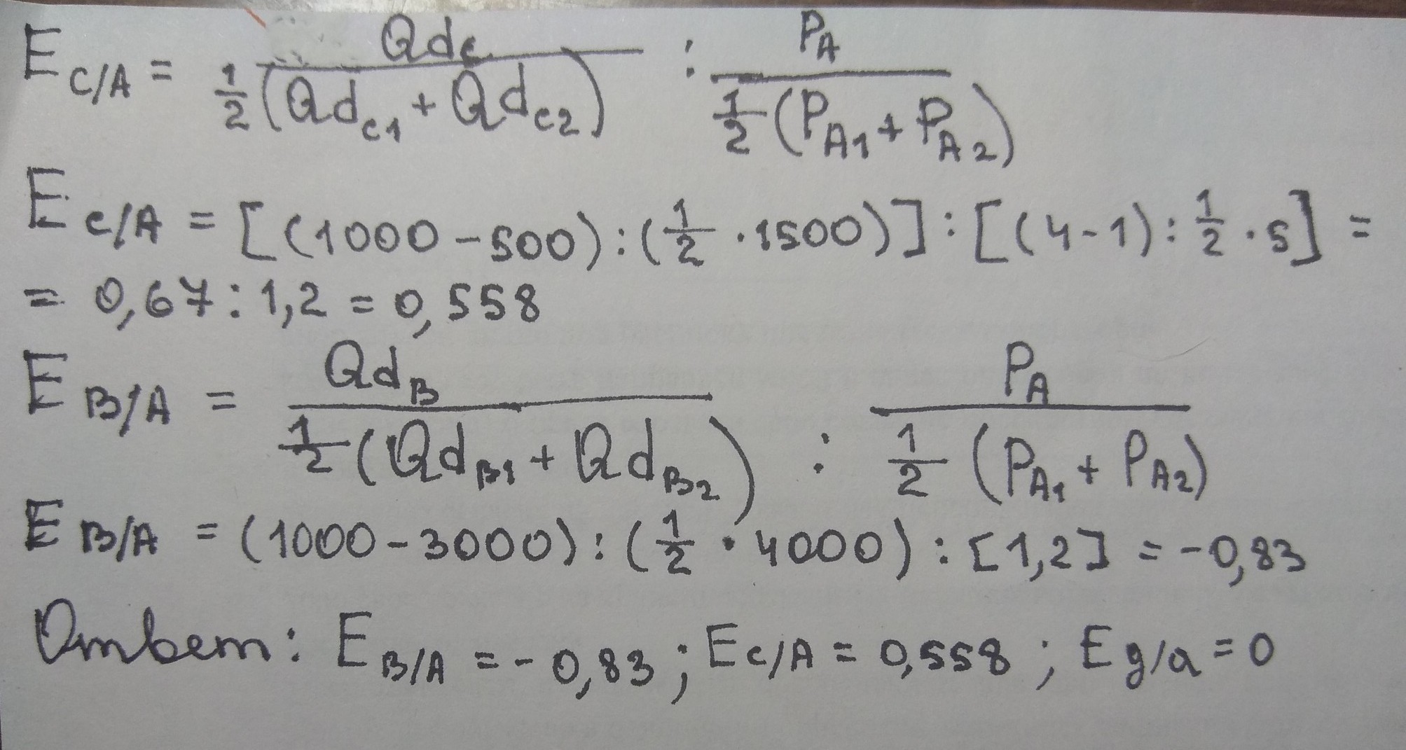
Цена на товар A выросла с 1 до 4 ден. ед. Спрос на товар B упал с 3000 до 1000 штук. Спрос на товар C вырос с 500 до 1000, на товар D не изменился. Определите коэффициенты перекрестной эластичности.
Ответы
Автор ответа:
2
1) Сначала рассчитываем коэффициент перекрестной эластичности товара С по формуле
2) Подставляем значения
3) Поскольку коэффициент положительный, то речь идет о товарах, взаимозаменяющих друг друга. Определяем коэффициент перекрестной эластичности товара В по такой же формуле
4) Снова подставляем значения
5) Поскольку коэффициент отрицательный, то речь идет о товарах, взаимодополняющих друг друга. Поскольку спрос на товар Д не изменился, коэффициент перекрестной эластичности равен 0, т. е. товары являются нейтральными.
2) Подставляем значения
3) Поскольку коэффициент положительный, то речь идет о товарах, взаимозаменяющих друг друга. Определяем коэффициент перекрестной эластичности товара В по такой же формуле
4) Снова подставляем значения
5) Поскольку коэффициент отрицательный, то речь идет о товарах, взаимодополняющих друг друга. Поскольку спрос на товар Д не изменился, коэффициент перекрестной эластичности равен 0, т. е. товары являются нейтральными.
Приложения:
Похожие вопросы
Предмет: История,
автор: sigalinaajgerim0
Предмет: Музыка,
автор: penzatkinamaria
Предмет: Английский язык,
автор: gayanevarosyan
Предмет: Музыка,
автор: leramalashkina
Предмет: Математика,
автор: плларьсоло