Предмет: Алгебра,
автор: mikaa2001
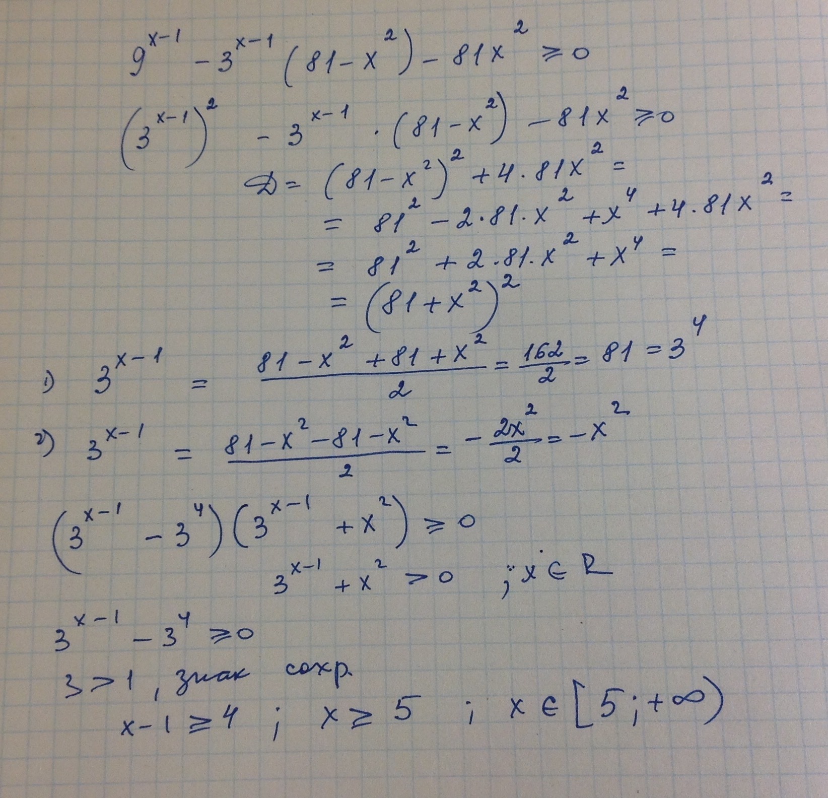
9^(x-1)-3^(x-1)(81-x^2)-81x^2>=0
Ответы
Автор ответа:
3
Ответ на фото/////////////////
Приложения:
Похожие вопросы
Предмет: Химия,
автор: alice4049
Предмет: Алгебра,
автор: timurshimanskij
Предмет: Французский язык,
автор: egorulkaantoshik2009
Предмет: Физика,
автор: llllDogellll
Предмет: География,
автор: Иван100000