Предмет: Алгебра, автор: FoxRaccoon

Помогите, срочно надо!

Приложения:

Ответы

Автор ответа: maksimcat
0

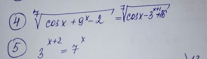
Ответ на фото///////////////

Приложения:
Похожие вопросы