Предмет: Алгебра, автор: Даня324556

Найдите значение выражения

Приложения:

Ответы

Автор ответа: Дейлионна
0
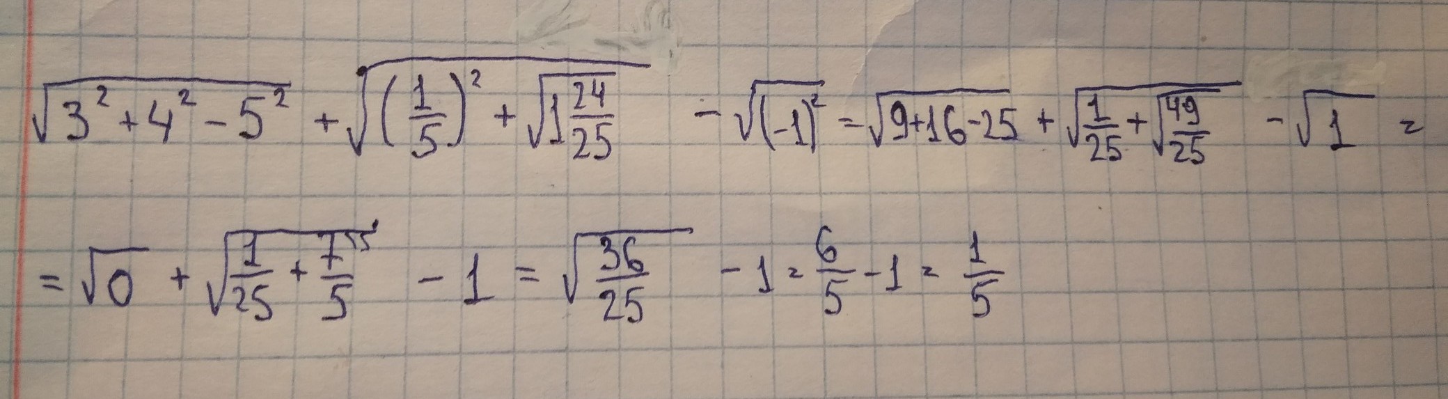
Ответ смотри на фото
Приложения:
Похожие вопросы
Предмет: История, автор: skai84093
Установіть послідовність цитованих подій:
А “У рік 6605. Прибули Святополк [Ізяславич], і Володимир [Всеволодович], і Давид Ігорович, і Василько Ростиславич, і Давид Святославич, і брат його Олег і зібралися [в городі] Любечі, щоб уладнати мир.”

Б “Що то шумить, що то дзвенить перед зорею ранньою? Ігор полки свої повертає… Бились день та бились і другий, а на третій, в південну годину, похилились Ігореві стяги!”

В “Паче всього — гордості не майте в серці і в умі... Старих шануй, як отця, а молодих — як братів. У домі своїм не лінуйтеся, а за всім дивіться!.. Лжі бережися, і п’янства, і блуду, бо всьому душа погибає і тіло...”

Г “Якщо хто вб’є князівську людину як розбійник, а община вбивцю не шукає, то віру за нього в розмірі 80 гривень платити тій общині, на землі якої буде знайдено вбитого; внаслідок вбивства людина сплачує віру князю в 40 гривень.”
Предмет: Литература, автор: маргариткасафина