Предмет: Алгебра,
автор: sadasdsss
ПОМОГИТЕ С АЛГЕБРОЙ НА ФОТО
8 и 9
Приложения:
tabarc:
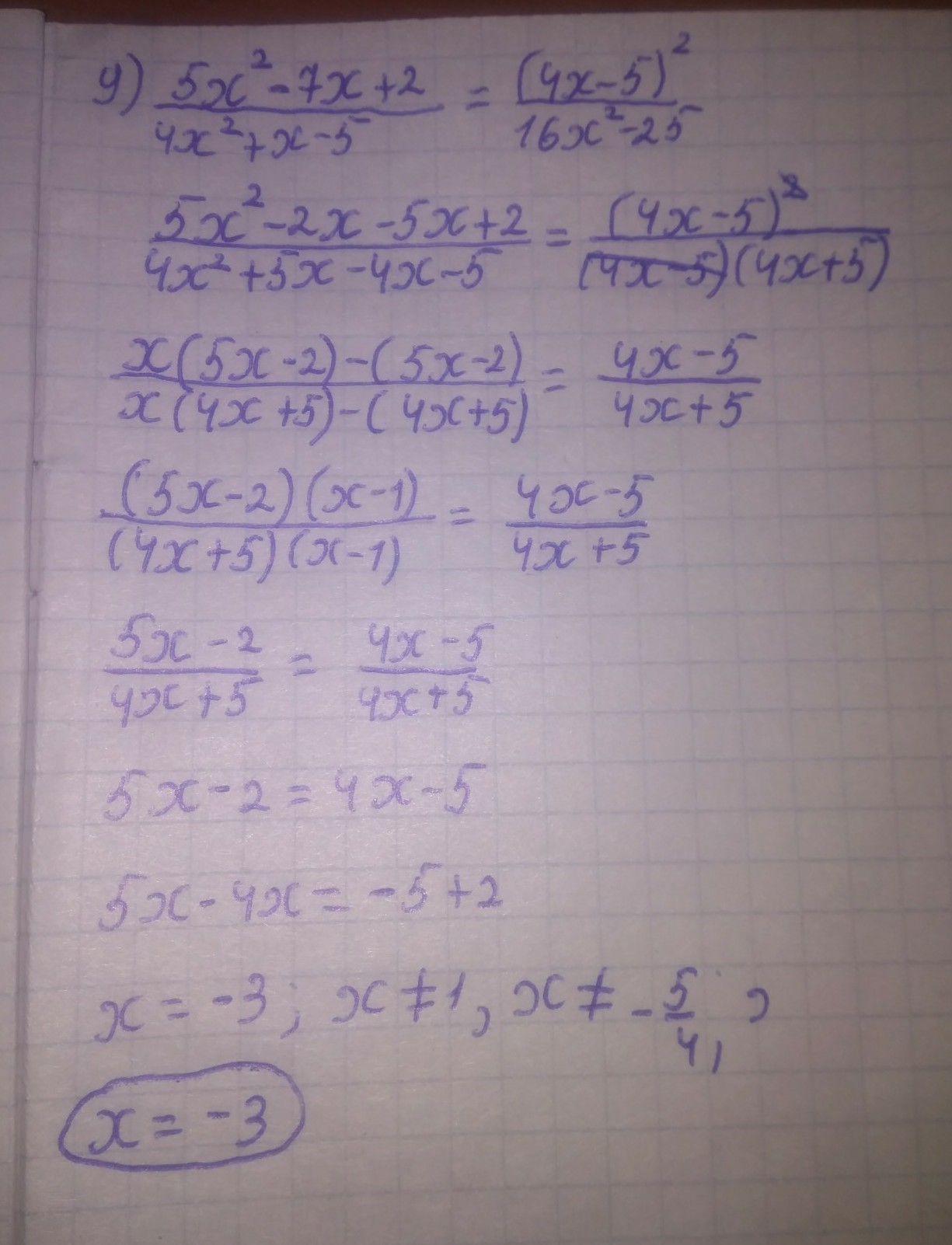
если 9. ответ х=-3 напишу решение
Ответы
Автор ответа:
1
Решение на фото, не забудь поставить лайк, и сделать мой ответ - лучшим.
Приложения:
Похожие вопросы
Предмет: Русский язык,
автор: raushangul27082010
Предмет: Другие предметы,
автор: vaiwa
Предмет: Обществознание,
автор: elizabethett
Предмет: Музыка,
автор: konfetimormeladki
Предмет: Математика,
автор: kristinabudtueva