Предмет: Физика,
автор: neynik
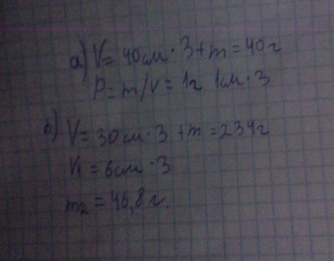
На рисунке показано как измерили массу мензурки с жидкостью и мензурку с шариками, опущенными в жидкость. Найдите объем и массу одного шарика, а также плотность материала, из которого изготовлен шарик.
Описание( есть две мензурки, в одной 240г и 40 см жидкости, в другой мензурки 474г и 5 шариков, 70 см жидкости(просто фото не загружается))
Помогите, пожалуйста.
Ответы
Автор ответа:
5
Вот держи. Надеюсь поймёшь
Приложения:
Похожие вопросы
Предмет: Математика,
автор: OnikaMonika
Предмет: Алгебра,
автор: vladimir233257aaa
Предмет: Физика,
автор: rosaliamj
Предмет: Обществознание,
автор: hushnur2260
Предмет: Алгебра,
автор: aristovstas20041