Предмет: Химия,
автор: Anna45w456
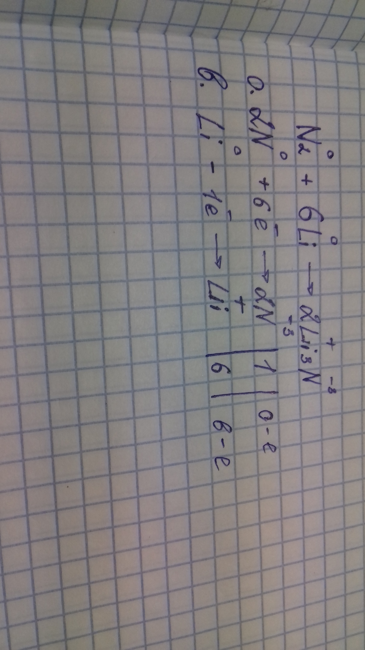
овр Li + N2 = Li3N
:)))))))
Ответы
Автор ответа:
0
Решение во вложении )
Приложения:
Похожие вопросы
Предмет: История,
автор: nurmuhammedovmuhamma
Предмет: Математика,
автор: DarixOne
Предмет: Информатика,
автор: mayasabkulovamaya
Предмет: Химия,
автор: pticaa
Предмет: Алгебра,
автор: ангел348