Предмет: Алгебра,
автор: датйуклдпрук
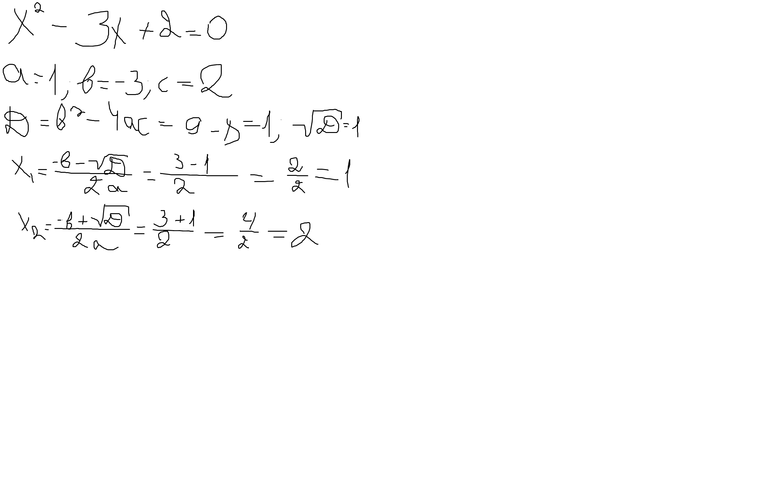
Проверьте, являются ли числа 0, 1, 2, 3 корнями уравнения х(во второй степени)-3х+2=0
Ответы
Автор ответа:
0
0 не является
1 является
2 является
3 не является
Автор ответа:
0
именно поэтому числа 1 и 2 являются корнями этого уравнения
Приложения:
Похожие вопросы
Предмет: Обществознание,
автор: Аноним
Предмет: Биология,
автор: maks67759
Предмет: География,
автор: pguravskaa
Предмет: Алгебра,
автор: Nemoda