Предмет: Алгебра,
автор: dinara2017app
Решите систему управления
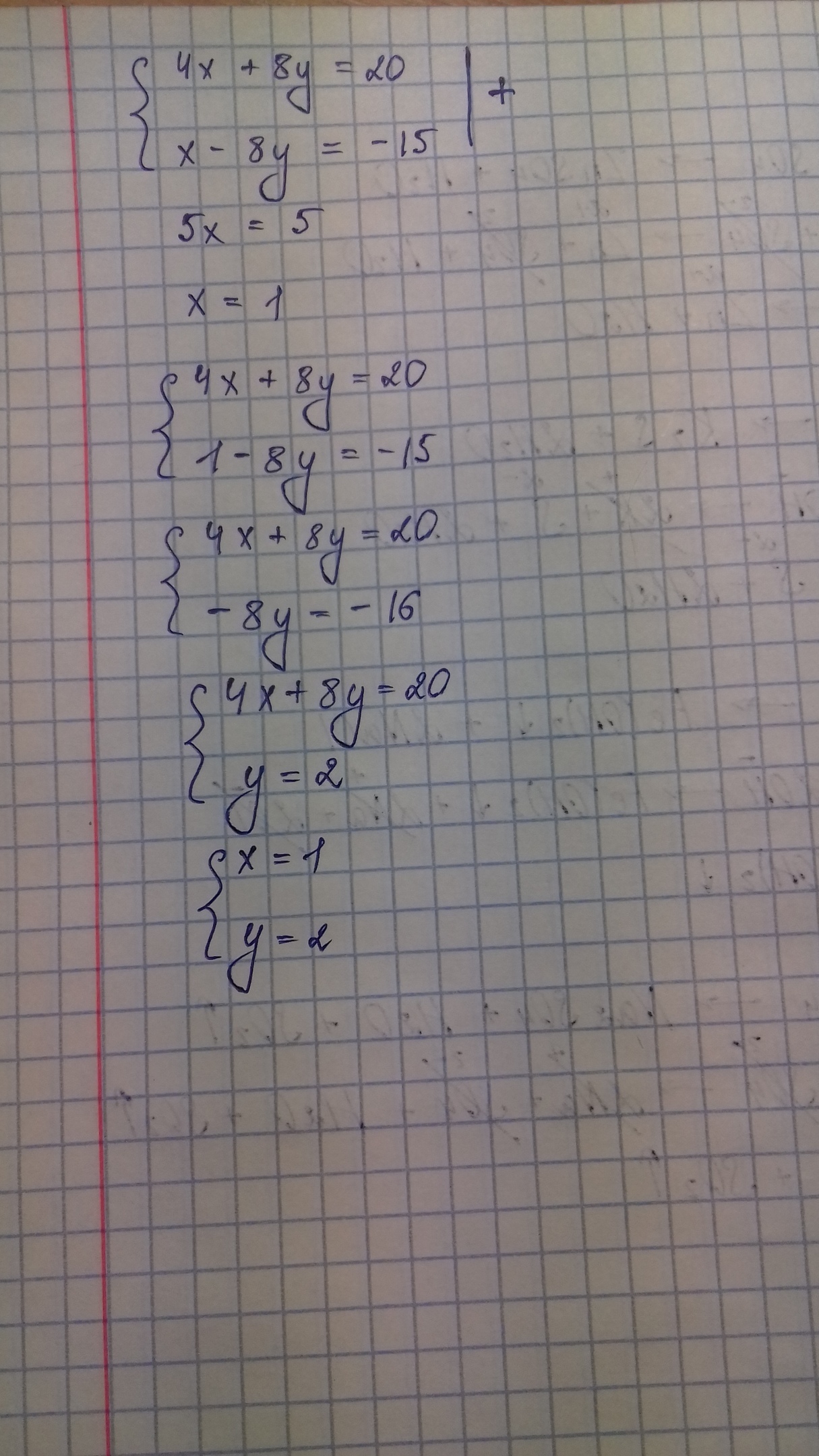
4x+8y=20
x-8y=-15
Ответы
Автор ответа:
0
Держи. Решение во вложении
Приложения:
Автор ответа:
0
4х+8у=20
Х-8у=-15
Х=-15+8у
4*(-15+8у)+8у=20
-60+32у+8у=20
40у=20+60
40у=80
У=80:40
У=2
Х=-15+8*2=-15+16=1
Ответ:(1;2)
Похожие вопросы
Предмет: Алгебра,
автор: aleksejvolonkin
Предмет: Русский язык,
автор: Malry13
Предмет: Физика,
автор: jsbcyanc
Предмет: Литература,
автор: Darimamau
Предмет: Математика,
автор: SMETANKOOSS