Предмет: Математика,
автор: AKKISakmal
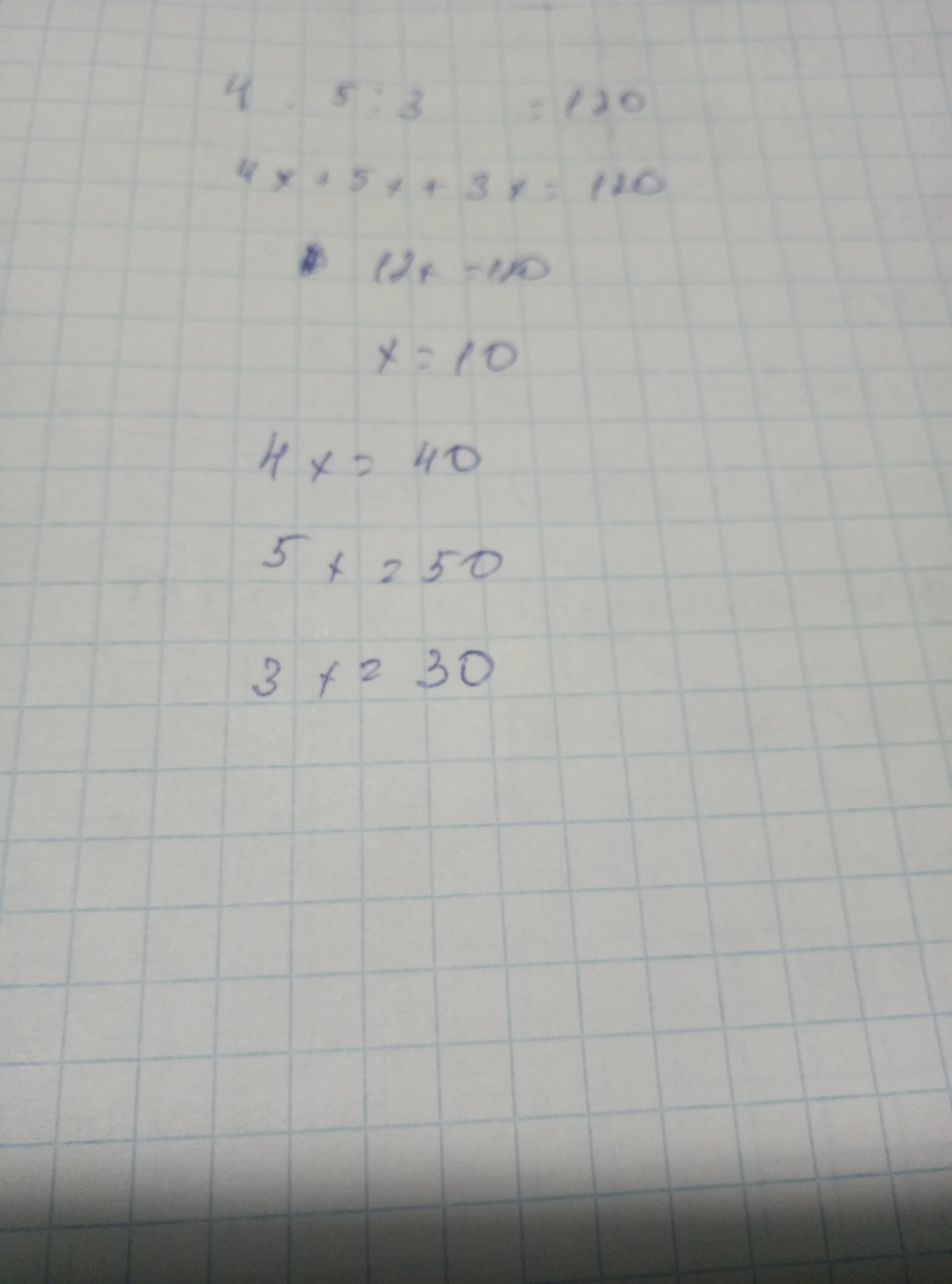
как разделить число 120 в отношении 4:5:3
Ответы
Автор ответа:
5
4x+5x+3x=120_(4+5+3=12)
12x=120
x=120:12
x=10
4x=4×10=40
5x=5×10=50
3x=3×10=30.
Удачи)))) Надеюсь все понятно!!!
12x=120
x=120:12
x=10
4x=4×10=40
5x=5×10=50
3x=3×10=30.
Удачи)))) Надеюсь все понятно!!!
Автор ответа:
2
Ответ:
Пошаговое объяснение:
Приложения:
Похожие вопросы
Предмет: Математика,
автор: uliamotadeli
Предмет: Английский язык,
автор: zanz2829
Предмет: Русский язык,
автор: petricheva08
Предмет: Математика,
автор: Maryammmmmm1
Предмет: Алгебра,
автор: Аноним