Предмет: Математика,
автор: Асылжан291
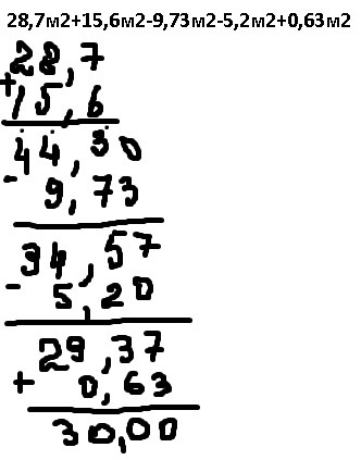
28,7м2+15,6м2-9,73м2-5,2м2+0,63м2
Ответы
Автор ответа:
0
Ответ: 30 м²
Пошаговое объяснение:
Приложения:
Похожие вопросы
Предмет: Математика,
автор: saimbetovazat9
Предмет: Химия,
автор: squerw
Предмет: Кыргыз тили,
автор: bajmurzaevalira
Предмет: История,
автор: Айша171924