Предмет: Алгебра, автор: oxxxygenkasap

Решите пожалуйста, сколько ни будь!!!! До завтра!!!

Приложения:

sangers: На третьем снимке =-?
oxxxygenkasap: -2
sangers: Понял.

Ответы

Автор ответа: maksimcat
1

Ответ на фото/////////////

Приложения:
Автор ответа: sangers
1

a) (x²-2x-1)²+3x²-6x-13=0

(x²-2x-1)+3x-6x-3-10=0

(x²-2x-1)²+3*(x²-2x-1)-10=0

Пусть(x²-2x-1)=t     ⇒

t²+3t-10=0    D=49       √D=7

t₁=x²-2x-1=2

x²-2x-3=0    D=16    √D=4

x₁=3      x₂=-1

t₂=x²-2x-1=-5

x²-2x+4=0     D=-12 ∈    ⇒

Ответ: x₁=3    x₂=-1.

A1

a) (8x+1)(2x-3)-1=(4x-2)²

16x²-22x-3-1=16x²-16x+4

-22x-4=-16x+4

6x=-8  |÷6

x=-8/6=-4/3.

Ответ: x=-4/3.

б) x⁴-26x²+25=0

Пусть x²=t>0    ⇒

t²-26t+25=0    D=576      √D=24

t₁=x²=1         ⇒    x₁=1           x₂=-1

t₂=x²=25     ⇒     x₃=5        x₄=-5.

Ответ: x₁=1       x₂=-1        x₃=5        x₄=-5.

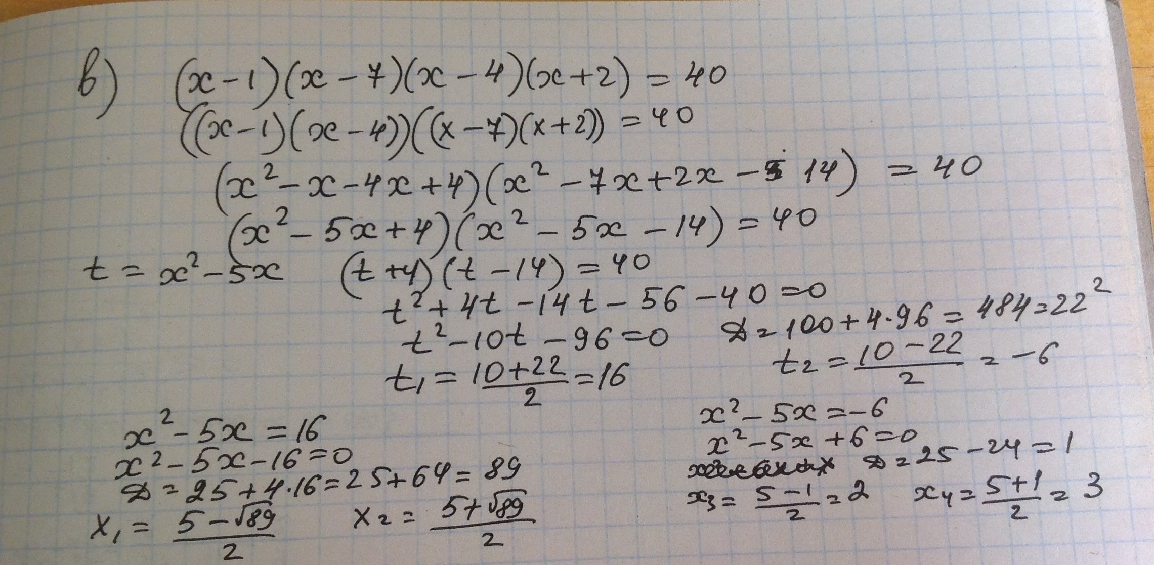
в) 4x³-x²=0

x²*(4x-1)=0

x²=0

x₁=0

4x-1=0

4x=1  |÷4

x₂=1/4.

Ответ: x₁=0       x₂=1/4.

г) (x²-5)²-3*(x²-5)-4=0

Пусть (x²-5)=t     ⇒

t²-3t-4=0    D=25     √D=5

t₁=x²-5=4       x²=9            x₁=3      x₂=-3

t₂=x²-5=-1      x²=4            x₃=2      x₄=-2

Ответ: x₁=3        x₂=-3         x₃=2        x₄=-2.

28

б) (x²-3x-6)/x-8x/(x²-3x-6)=-2

Пусть (x²-3x-6)/x=t     ⇒

t-8/t=-2

t²-8=-2t

t²+2t-8=0    D=36     √D=6

t₁=(x²-3x-6)/x=2

x²-3x-6=2x

x₂-5x-6=0      D=49     √D=7

x₁=6       x₂=-1.

t₂=(x²-3x-6)/x=-4

x²-3x-6=-4x

x²+x-6=0    D=25       √D=5

x₃=2      x₄=-3.

Ответ: x₁=6     x₂=-1        x₃=2      x₄=-3.


Похожие вопросы
Предмет: Беларуская мова, автор: yanakolomiitseva
Предмет: Алгебра, автор: Темурка