Предмет: Математика,
автор: vikaaaaa61
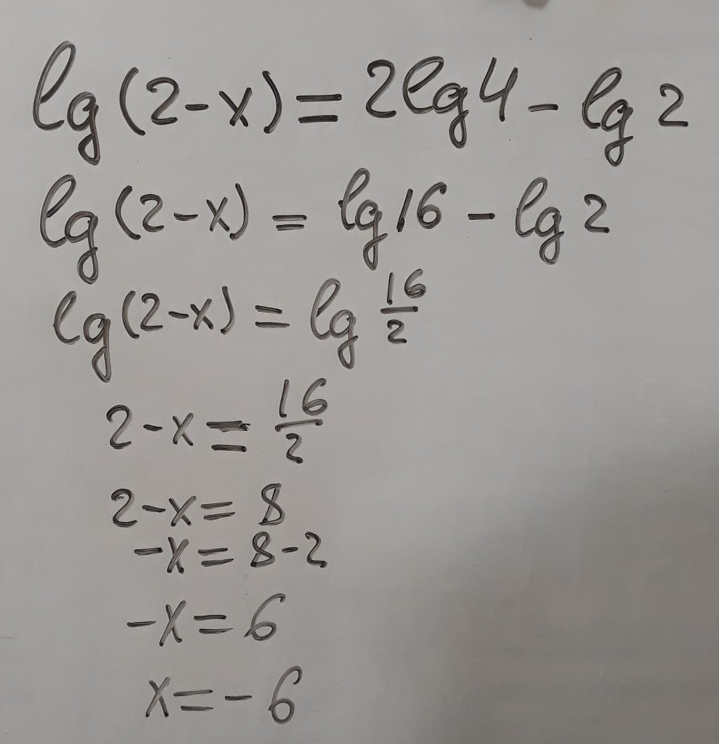
lg(2-x)=21g4-lg2 помогите
Ответы
Автор ответа:
2
Вот ответ. Я думаю так. Отметь мой ответ лучшим пожалуйста.
Приложения:
Похожие вопросы
Предмет: Литература,
автор: rinatmamedov016
Предмет: Қазақ тiлi,
автор: mahakoloma7515
Предмет: География,
автор: mariiaalt
Предмет: Математика,
автор: никитос180
Предмет: Математика,
автор: barniandrey