Предмет: Математика,
автор: alinazalnina18
Помогите решить.
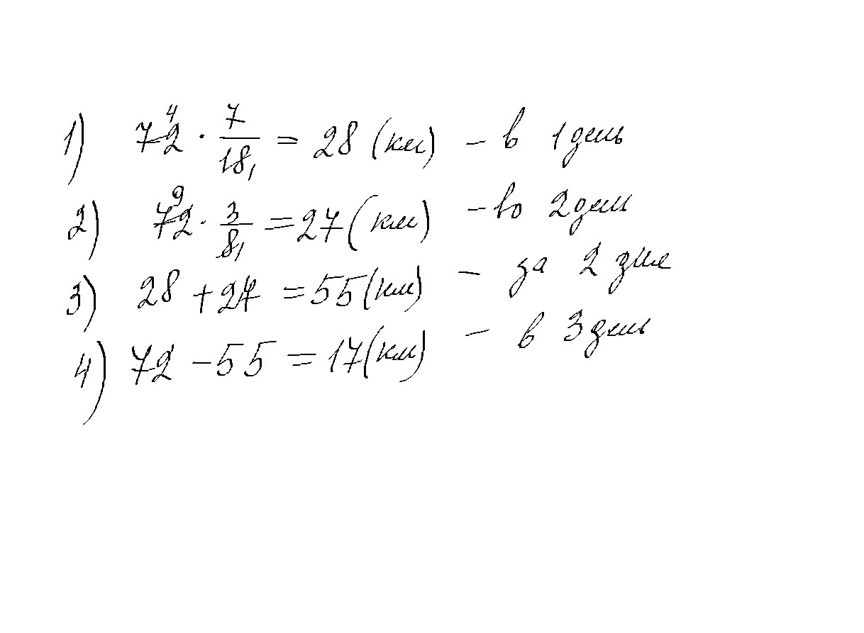
Туристы прошли 72км по местам боевой славы. В 1 - ый день они прошли семь восемнадцатых, во второй день три восьмых всего расстояния. Остальное в третий день.
Найдите его.
Ответы
Автор ответа:
3
Ответ:
Пошаговое объяснение:
Приложения:
Похожие вопросы
Предмет: Русский язык,
автор: ermolovamas
Предмет: Қазақ тiлi,
автор: aodanwrw
Предмет: Английский язык,
автор: Sultanovdias08
Предмет: Математика,
автор: sagr0209
Предмет: Литература,
автор: meeri16m