Предмет: Математика,
автор: fui8
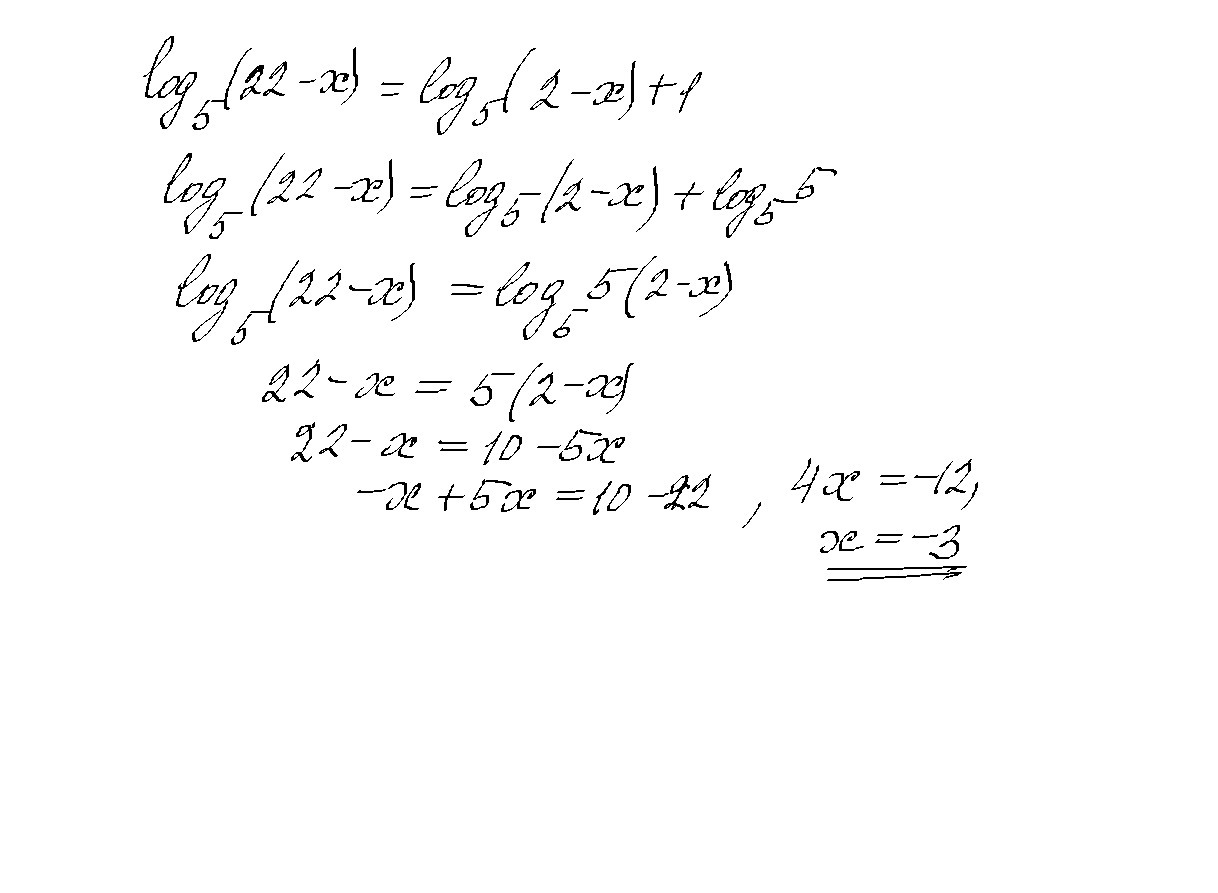
найдите корень уравнения log5(22-x)=log5(2-x)+1
Ответы
Автор ответа:
0
Ответ:
-3
Пошаговое объяснение:
1 = log 5 (5)
22-x = (2-x)*5
4 x = - 12
x = - 3
Автор ответа:
0
Ответ:
Пошаговое объяснение:
Приложения:
Похожие вопросы
Предмет: Математика,
автор: miklashmash
Предмет: Английский язык,
автор: petapetovic83
Предмет: Другие предметы,
автор: gabbasovadilnaz4
Предмет: Математика,
автор: fuy1