Предмет: Алгебра,
автор: vera3331950
помогите срочно нужна помощь
Приложения:
Ответы
Автор ответа:
1
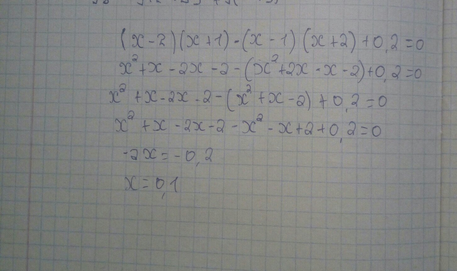
упражнение 5 вот как-то так
Приложения:
Похожие вопросы
Предмет: Другие предметы,
автор: gabbasovadilnaz4
Предмет: Русский язык,
автор: kalzhankyzi
Предмет: Литература,
автор: mashamixaleva2011
Предмет: Математика,
автор: алория1
Предмет: Алгебра,
автор: petrovyasia