Предмет: Физика,
автор: MidhaGerbEg2056
Помогите решить в виде задачи!!!
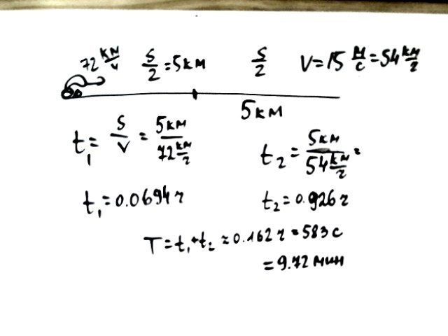
Первую половину пути автомобиль ехал со скоростью 72км/ч , а оставшиеся 5 км ехал со скоростью 15м/с .
Сколько времени автомобиль затратил на весь путь ?
Ответы
Автор ответа:
0
Помогите решить в виде задачи!!!
Первую половину пути автомобил
Приложения:
Похожие вопросы
Предмет: Геометрия,
автор: mashaulasevich7
Предмет: Алгебра,
автор: yarikgraw
Предмет: Математика,
автор: bublik6560
Предмет: Математика,
автор: нурит
Предмет: История,
автор: настя20169