Предмет: Алгебра,
автор: hahw8i28
Даю 34 балла умаляю помогите
Приложения:
viktoriya8115:
отв : 3
Ответы
Автор ответа:
0
1) решение- 9-2=7
2) решение- (2√2 + 8)-(2√2-8)= 2√2+8-2√2+8=16
3)решение- (√7-1)²=7-2√7+1
Автор ответа:
0
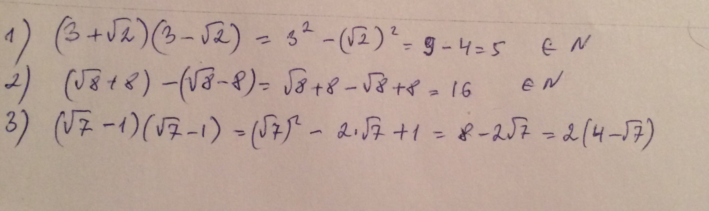
после раскрытия скобок получаем, что число под 1) равно 5; под 2) равно 16.
Числа 5 и 16 являются натуральными.
А число под цифрой 3 иррациональное.
Приложения:
Похожие вопросы
Предмет: Другие предметы,
автор: Badbananapig
Предмет: Литература,
автор: Аноним
Предмет: Музыка,
автор: seias22
Предмет: Математика,
автор: andreykazolotu
Предмет: Литература,
автор: Anny166