Предмет: Математика,
автор: kcerednecenkop83umd
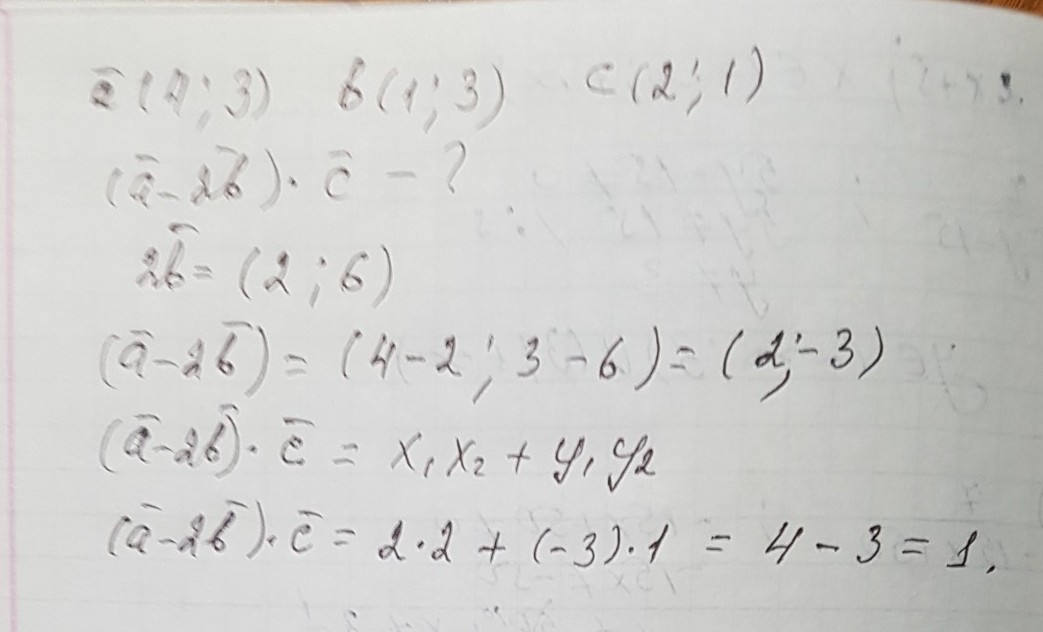
Даны векторы a(4;3) ; b(1;3); c(2;1) найдите сколярное призведения вектора a-2b на вектора с
Ответы
Автор ответа:
0
решение задания смотри на фотографии
Приложения:
Похожие вопросы
Предмет: Литература,
автор: ulianawiktorowna
Предмет: Математика,
автор: kudyshev8
Предмет: Русский язык,
автор: Аноним
Предмет: Литература,
автор: Яна3АКласс
Предмет: Математика,
автор: Лоб4ик