Предмет: Математика, автор: МироноваНадя

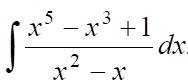
Помогите решить интеграл, пожалуйста.

Приложения:

Ответы

Автор ответа: Alexаndr
1

\displaystyle\int\frac{x^5-x^3+1}{x^2-x}dx=\int\frac{x^3(x-1)(x+1)}{x(x-1)}dx+\int\frac{dx}{x(x-1)}=\\=\int(x^3+x^2)dx+\int(\frac{1}{x-1}-\frac{1}{x})dx=\frac{x^4}{4}+\frac{x^3}{3}+ln|x-1|-ln|x|+C


МироноваНадя: Спасибо большое
Похожие вопросы
Предмет: Русский язык, автор: tamaracusovitina131
Предмет: История, автор: Григорий1267