Предмет: Алгебра, автор: Daniilsukhankin2014

Решите пожалуйста !!!!

Приложения:

Ответы

Автор ответа: karishok21
0

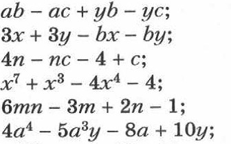
ab + yb - ac - yc = a(b - c) + y(b - c) = (a + y)(b - c)
3x + 3y - bx - by = 3(x + y) - b(x + y) = (3 - b)(x + y)
4n - nc - 4 + c = 4(n - 1) - c(n - 1) = (4 - c)(n - 1)
 {x}^{7}  +  {x}^{3}  - 4 {x}^{4}  - 4 =  {x}^{3} ( {x}^{4}  + 1) - 4( {x}^{4} - 1) = ( {x}^{3}   - 4)( {x}^{4}  - 1)
6mn - 3m + 2n - 1 = 3m(2n - 1) + (2n - 1) = (3m + 1)(2n - 1)
4 {a}^{4}  - 5 {a}^{3} y - 8a + 10y = 4a( {a}^{3}  - 2) - 5y( {a}^{3}  - 2) = (4a - 5y)( {a}^{3}  - 2)
24 {x}^{2} y + 36x {y}^{2}  = 12xy(2x + 3y)
 - 4 {x}^{8}  + 18 {x}^{15}  = 2 {x}^{8} (9 {x}^{7}  - 2)
3 {x}^{4}  - 6 {x}^{3}  + 9 {x}^{5}  = 3 {x}^{3} (x - 2 + 3 {x}^{2} )
8a {b}^{3}  - 12 {a}^{2} b - 24 {a}^{2}  {b}^{2}  = 4ab(2 {b}^{2}  - 3a - 6ab)
18 {y}^{5}  - 12x {y}^{2}  + 9 {y}^{3}  = 3 {y}^{2} (6 {y}^{3}  - 4x + 3y)
 - 14a {b}^{3}  {c}^{2}  - 21 {a}^{2}b {c}^{2}   - 28 {a}^{3}  {b}^{2} c =  - 7abc(2 {b}^{2} c + 3ac + 4 {a}^{2} b)


Похожие вопросы
Предмет: Математика, автор: nadezdakolesnikova
Предмет: Химия, автор: ksadykova03349
Предмет: Биология, автор: yaelena1612