Предмет: Физика, автор: cveronac

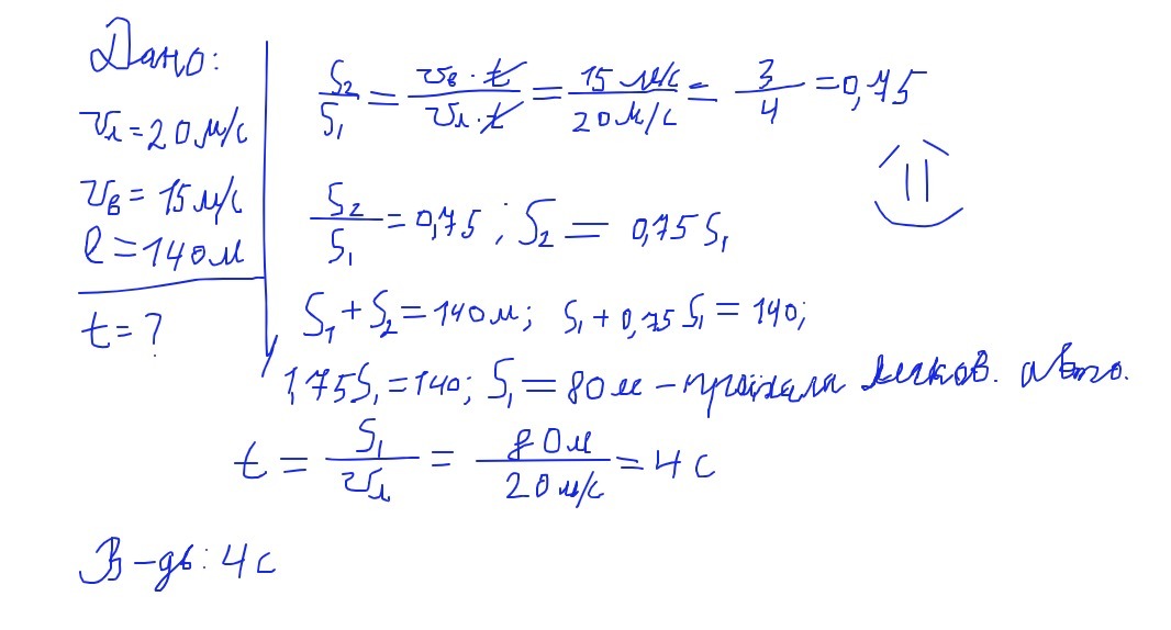
Помогите решить номер 13

Приложения:

Ответы

Автор ответа: MeDi0N
0

******************************************

Приложения:

MeDi0N: тут потрібно добряче подумати)
Похожие вопросы
Предмет: Математика, автор: velichkovialina
Предмет: Русский язык, автор: Elizoveveta737
Предмет: Химия, автор: katyalady58
Предмет: Математика, автор: sdagfdvxcz
Предмет: Математика, автор: Аноним