Предмет: Алгебра,
автор: nastya141114
Пожалуйста помогите
Приложения:
Ответы
Автор ответа:
1
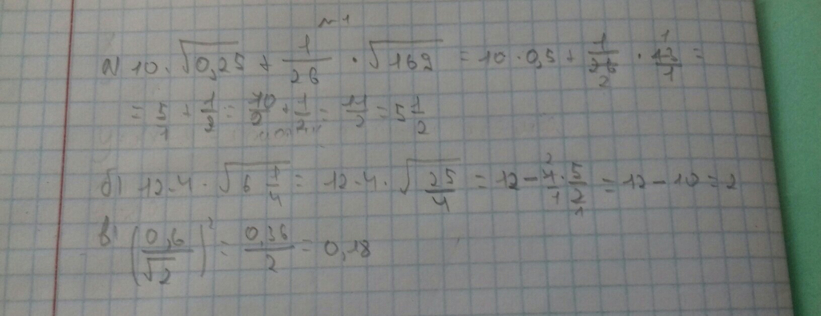
1 номер:
ответ а: 5,5
ответ б: 2
ответ в: 0,18
ответ а: 5,5
ответ б: 2
ответ в: 0,18
Приложения:
Похожие вопросы
Предмет: Русский язык,
автор: karimovaramina1
Предмет: Русский язык,
автор: maksimowaw6
Предмет: Математика,
автор: temir1121
Предмет: Литература,
автор: Gagloevaangel