Предмет: Математика,
автор: akozhabek7
Помогите срочно!
ЗАРАНЕЕ Спасибо
Приложения:
Ответы
Автор ответа:
1
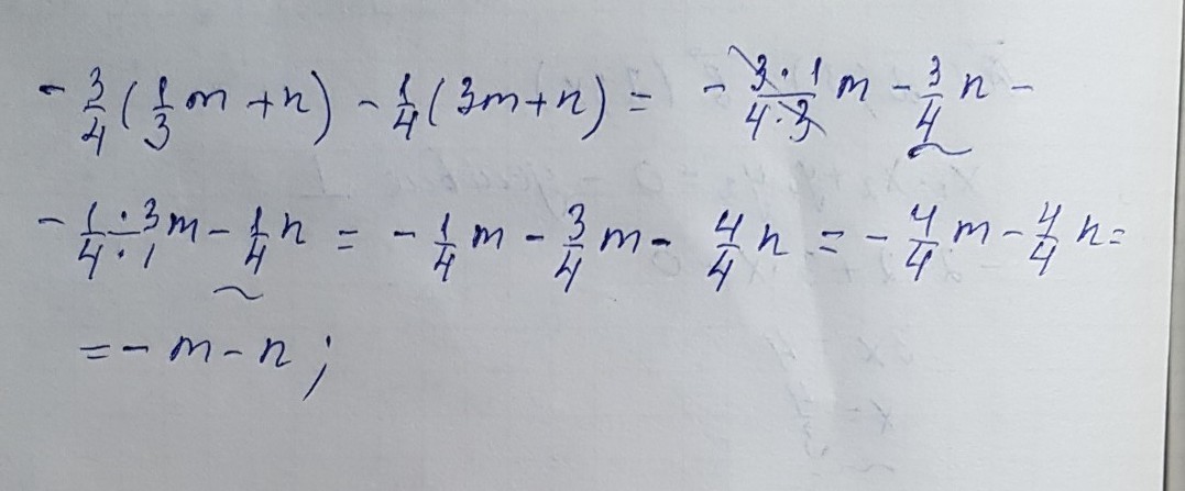
решение задания смотри на фотографии
Приложения:
1233090:
Спасибо за оценку
наборот тебе спасибо
был рад помочь
Похожие вопросы
Предмет: Геометрия,
автор: kudurbekovaaknur
Предмет: Математика,
автор: stiveertut121
Предмет: Физика,
автор: den790fr
Предмет: Биология,
автор: Аноним