Предмет: Математика,
автор: vikabliz21
Помогите пожалуйста СРОЧНО!!!
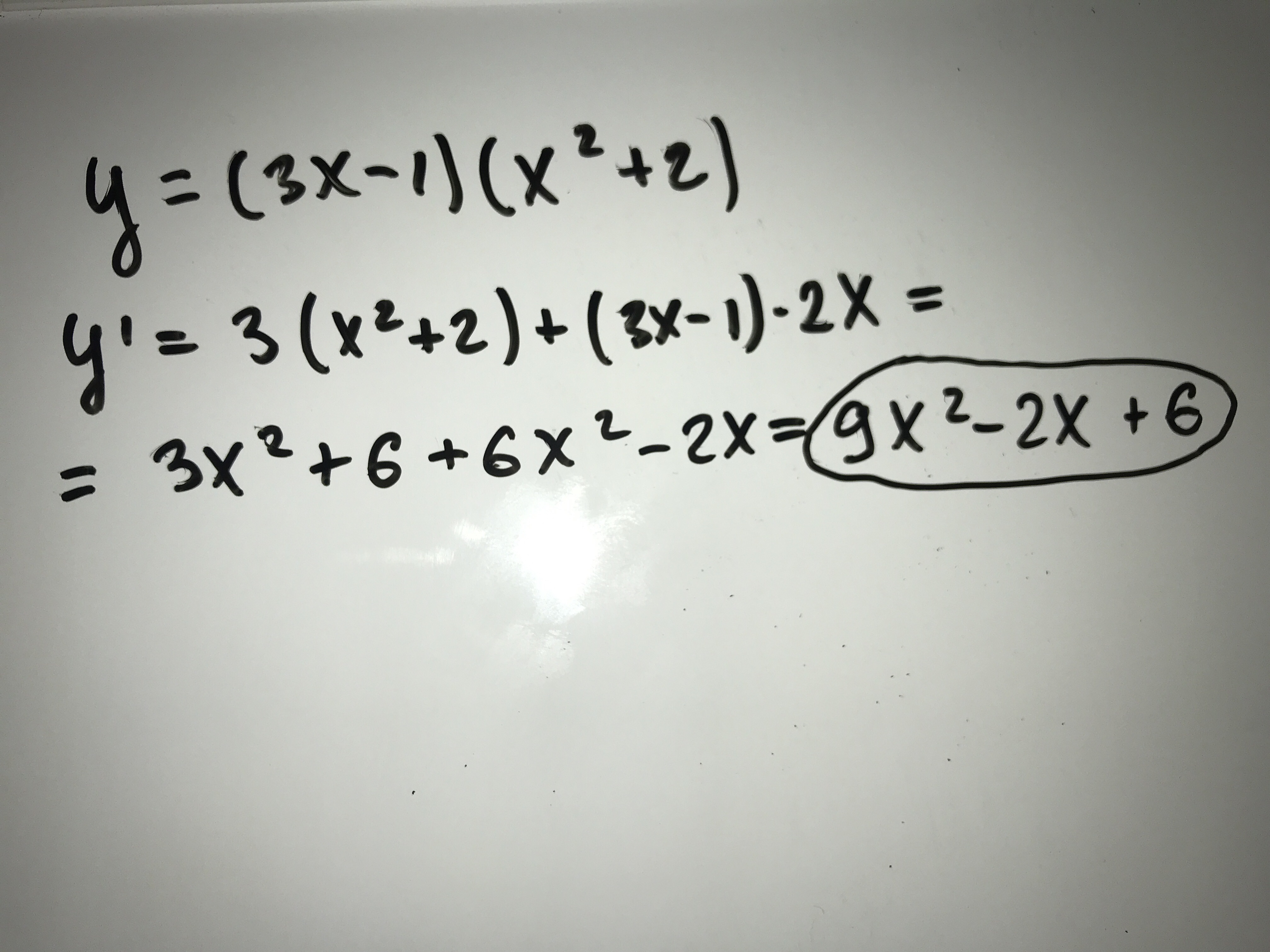
Найдите производную y(штрих), y=(3х-1)(x^2 +2)
Ответы
Автор ответа:
0
Ответ:
Пошаговое объяснение:
Приложения:
Похожие вопросы
Предмет: Литература,
автор: Аноним
Предмет: Математика,
автор: aldiyar1206
Предмет: Английский язык,
автор: sagoalan5
Предмет: Литература,
автор: танана
Предмет: Математика,
автор: muhunj2