Предмет: Геометрия,
автор: wgete
Спрости вираз
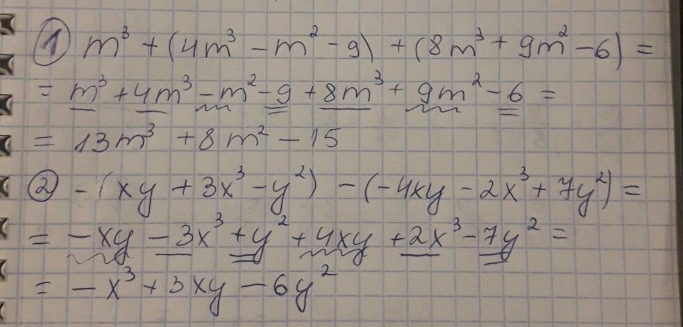
1) m3 + (4m3 - m2-9) + (8m3 + 9m2 - 6) =
2) -(xy + 3x3 - y2) - ( -4xy - 2x3 + 7y2) =
Ответы
Автор ответа:
5
Решение на фотографии
Приложения:
Похожие вопросы
Предмет: Русский язык,
автор: ItachiUtiha21
Предмет: Математика,
автор: MilkaWayStar
Предмет: Алгебра,
автор: mert663
Предмет: Математика,
автор: Аноним
Предмет: Алгебра,
автор: mssevkova