Предмет: Математика,
автор: Juvialoksar06
Помогите это очень срочно!
Нужно решить пример с объяснением.
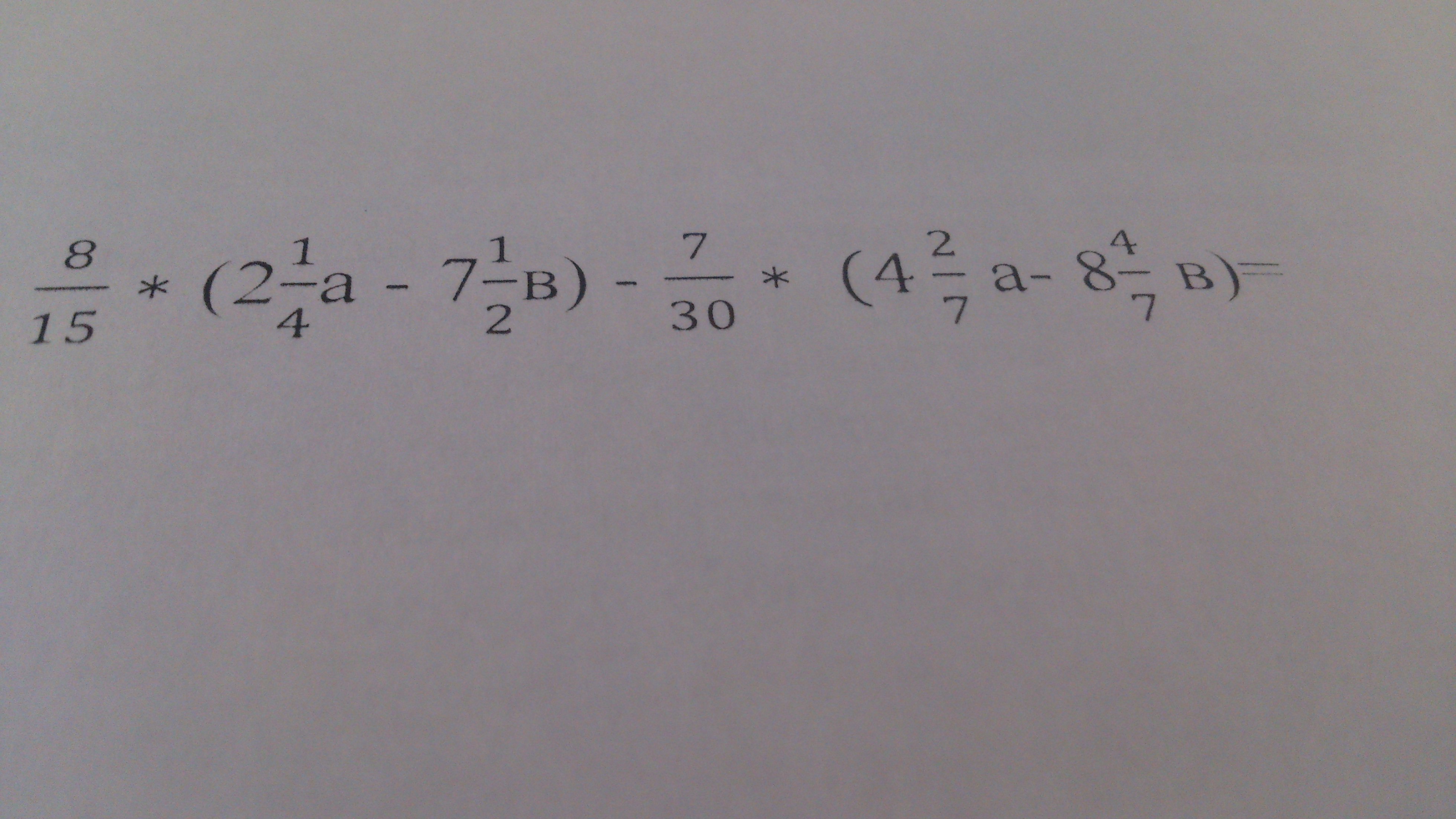
8/15 * (2 1/4а - 7 1/2b)-7/30 * (4 2/7a - 8 4/7b)=
Приложения:
Ответы
Автор ответа:
1
Надеюсь помогла)Удачи, если что пиши)
Приложения:
Похожие вопросы
Предмет: Математика,
автор: aigerimnaetilda
Предмет: Химия,
автор: hdjsjsshg
Предмет: Физика,
автор: mpechorin7
Предмет: Литература,
автор: dok7676vika
Предмет: Биология,
автор: kurilkodanil