Предмет: Алгебра,
автор: nonamedoor
Упростить
(Больше дополнительной информации,ибо система не принимает короткий вопрос)
Приложения:
Ответы
Автор ответа:
1
хммммммммммммммммммм
Приложения:
Автор ответа:
1
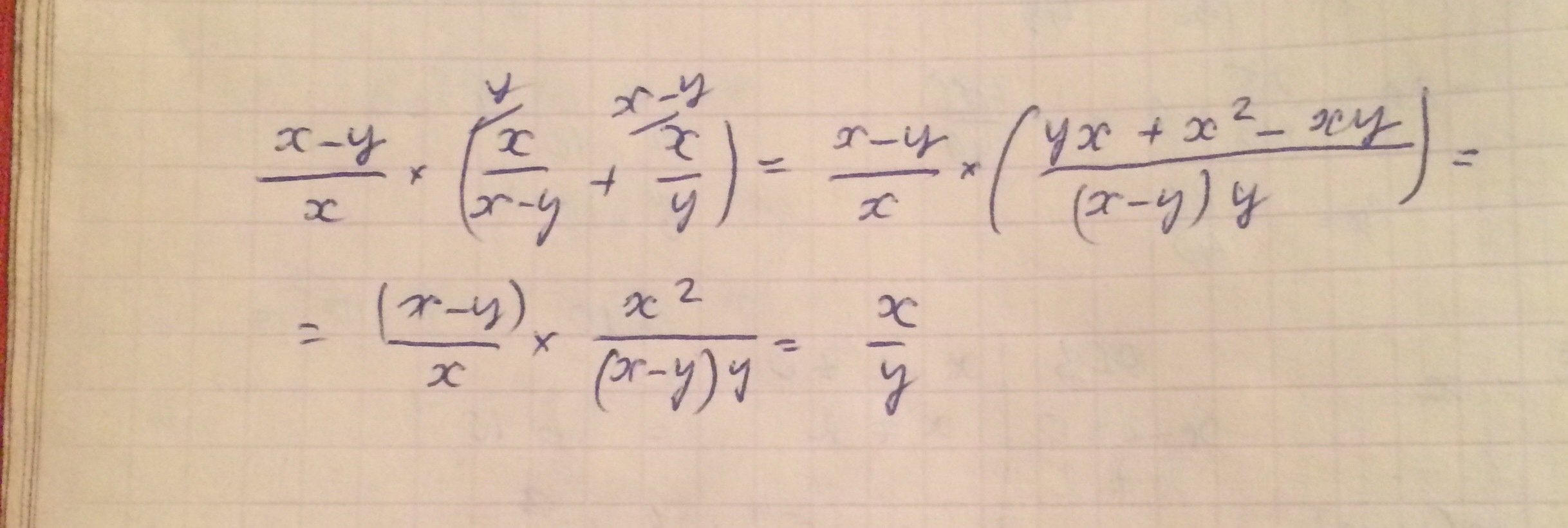
Первое действие в скобках. Приводим к общему знаменателю и выполняем сложение.
Вторым действием умножаем. Ответ: х/у
Приложения:
Похожие вопросы
Предмет: Русский язык,
автор: Arbuzda
Предмет: Кыргыз тили,
автор: agg53024
Предмет: Математика,
автор: charos031021
Предмет: Алгебра,
автор: MarGGoTV