Предмет: Математика,
автор: begler
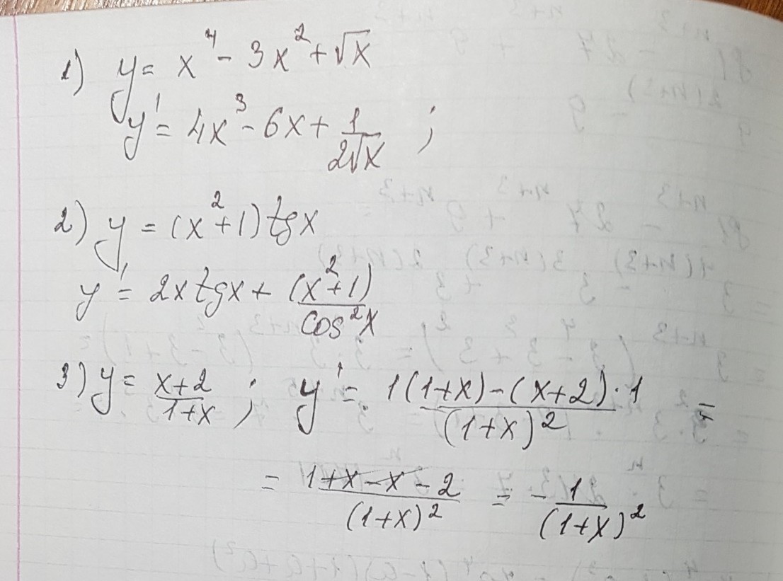
Найти производную. y=x^4-3x^2+√x
y=(x^2+1) tg x
y= x+2 / 1+x
Ответы
Автор ответа:
2
решение задания смотри на фотографии
Приложения:
Похожие вопросы
Предмет: Литература,
автор: LauraSh2008
Предмет: История,
автор: evakazakova3332
Предмет: Математика,
автор: artemiyarchi
Предмет: Математика,
автор: Arukusha
Предмет: Математика,
автор: аля050505