Предмет: Алгебра,
автор: sergeysargsyanotl7bg
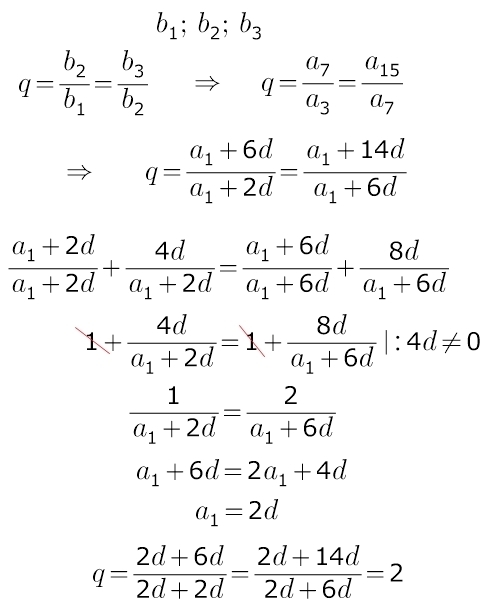
Bn-геометрическая прогрессия
An - арифметическая прогрессия
Известно что разница арифметической прогрессии не равна нулю.
Найти возможные значения знаменатель геометрическая прогрессия если

Ответы
Автор ответа:
0
по формуле эн-ного члена арифметической прогрессии найти зависимость между а1 и d... d сократится))
Приложения:
Похожие вопросы
Предмет: Окружающий мир,
автор: aminababayeva1804
Предмет: История,
автор: olesazaramenskih
Предмет: Литература,
автор: marikordelyuk
Предмет: Геометрия,
автор: superdima4251
Предмет: Литература,
автор: Аноним