Предмет: Геометрия,
автор: lo333
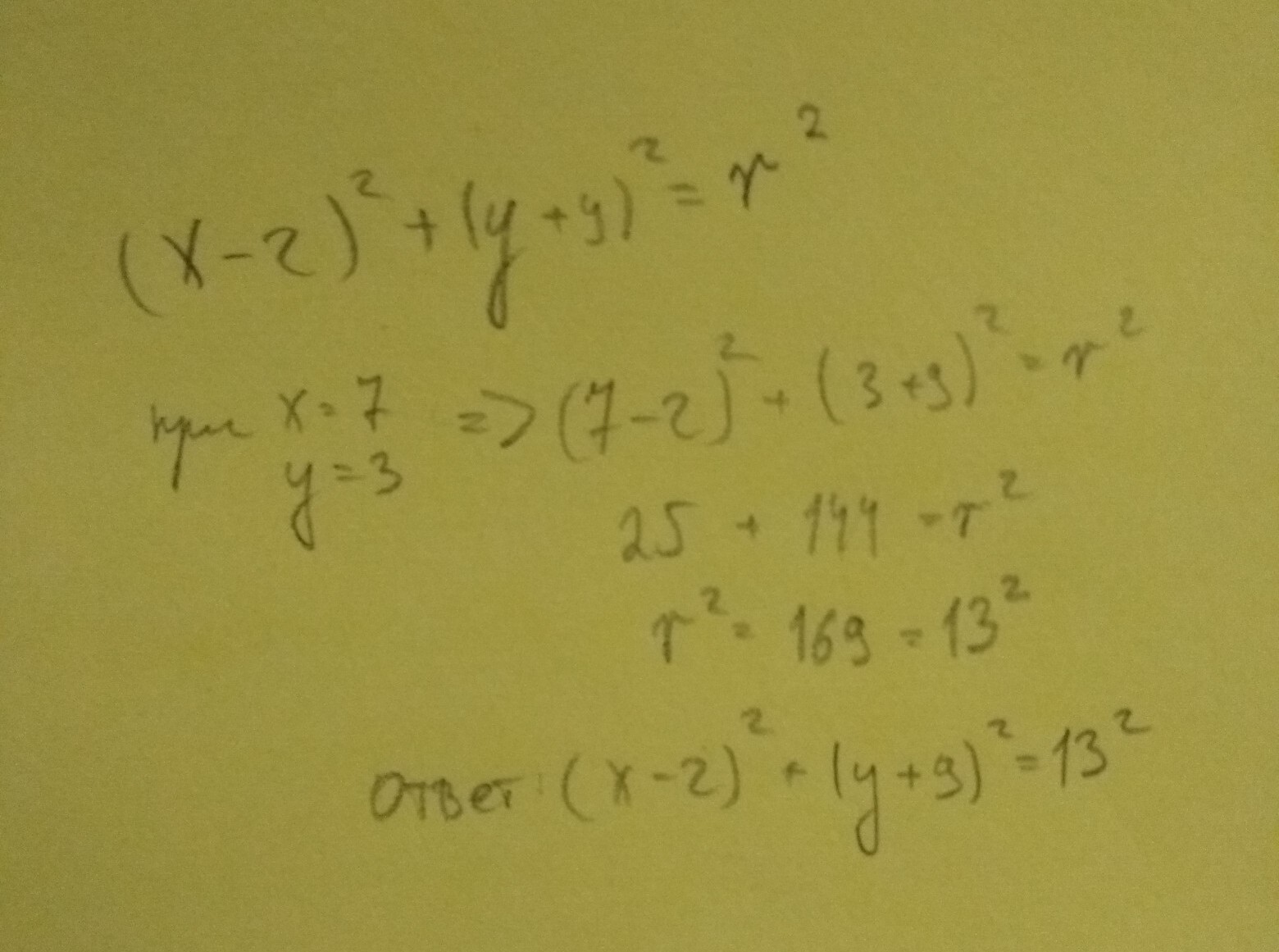
Напишите уравнение окружности с центром в точке K(2;-9) проходящей через точку L(7;3). СРОЧНО!!!!!!
Ответы
Автор ответа:
10
один из возможных способов решения
Приложения:
Похожие вопросы
Предмет: Физика,
автор: olgaelle888
Предмет: Другие предметы,
автор: korolvladyslava30
Предмет: Геометрия,
автор: Аноним
Предмет: Химия,
автор: madamalonchuk
Предмет: Литература,
автор: никита1881