Предмет: Математика,
автор: vika110120
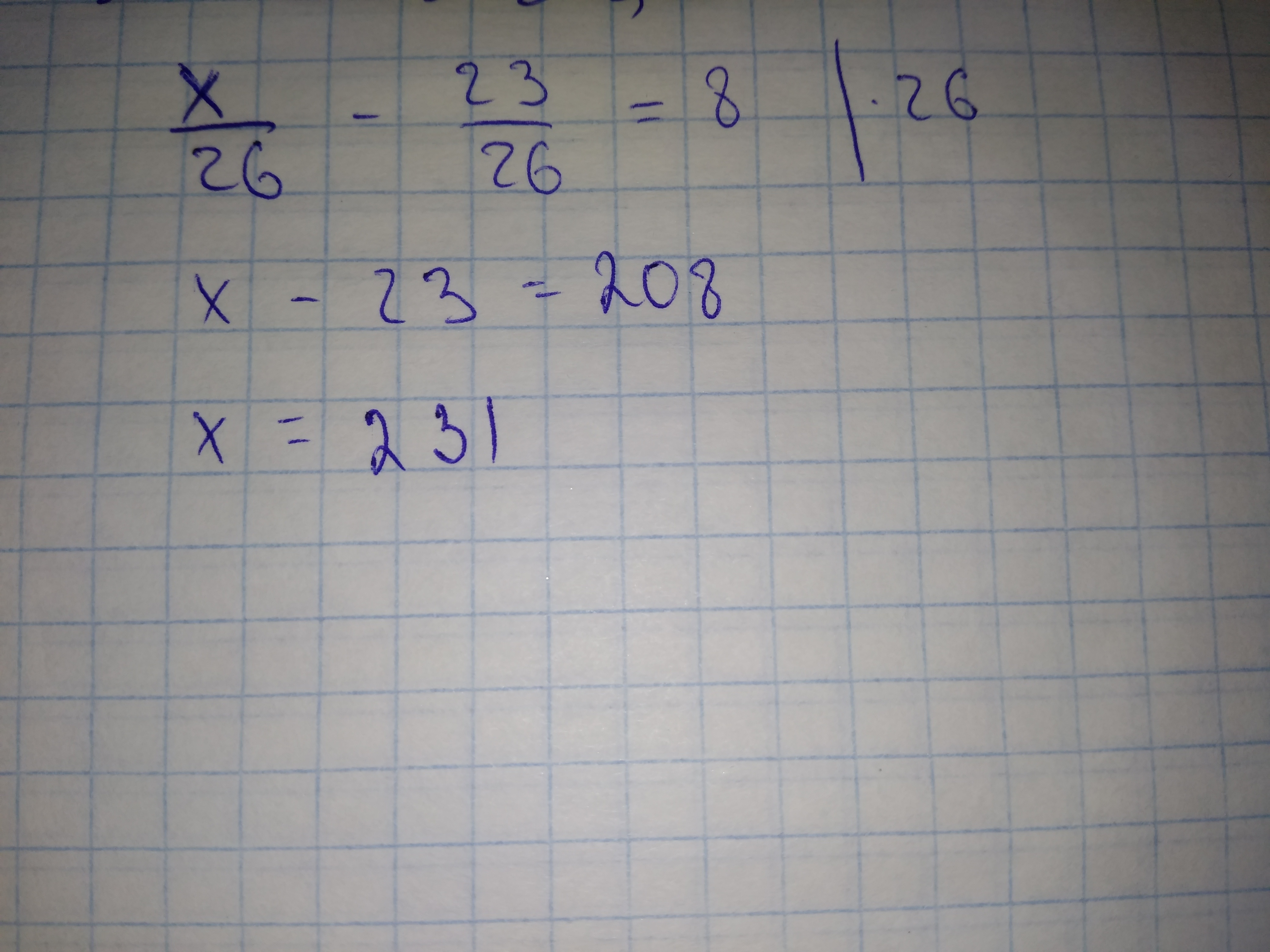
Решите (x-23):26=8
Уравнение
Ответы
Автор ответа:
1
Ответ:
Пошаговое объяснение:
х-23=8*26
х-23=208
х=208+23
х=231
(231-23):26=8
8=8
Автор ответа:
0
Ответ:231
Пошаговое объяснение:
Приложения:
Похожие вопросы
Предмет: Математика,
автор: aminabbasovaa
Предмет: География,
автор: akentevsemen776
Предмет: Геометрия,
автор: socvaleiia
Предмет: Химия,
автор: Ainalina
Предмет: Математика,
автор: esmiralda02