Предмет: Алгебра,
автор: Аноним
Поможіть, дуже треба!!!!!
Приложения:
Ответы
Автор ответа:
1
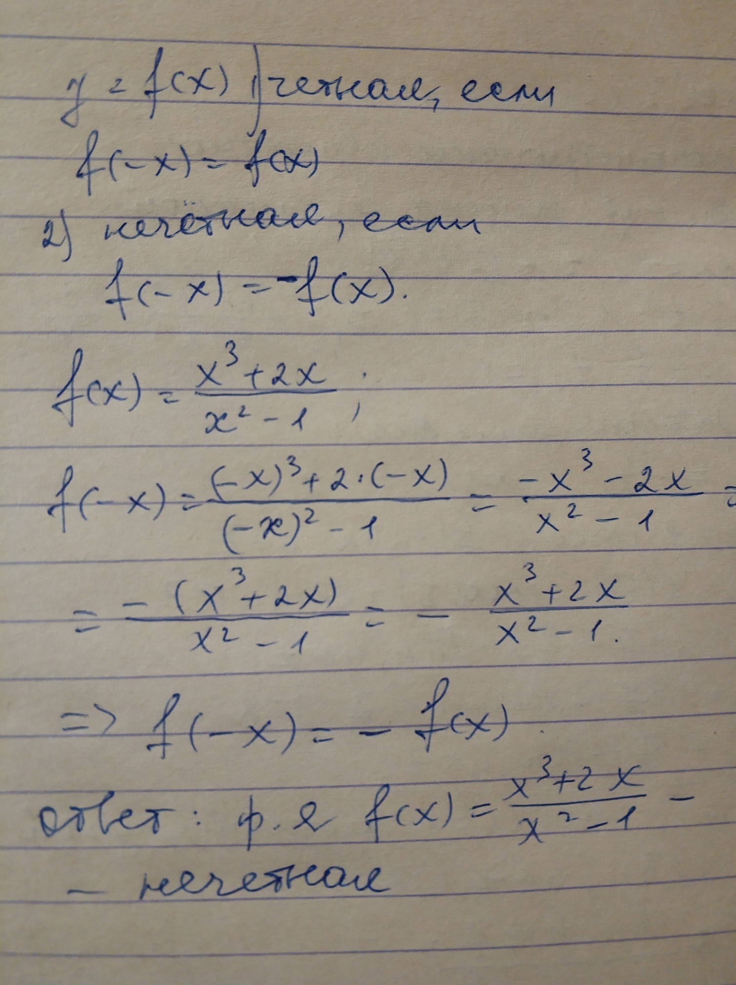
решение во вложении....
Приложения:
Похожие вопросы
Предмет: Химия,
автор: mmmmfuuuut
Предмет: Математика,
автор: agakisyevsupan
Предмет: Английский язык,
автор: theonlyrass
Предмет: Геометрия,
автор: Стиль11
Предмет: Информатика,
автор: найк42