Предмет: Математика,
автор: barabanschikova80
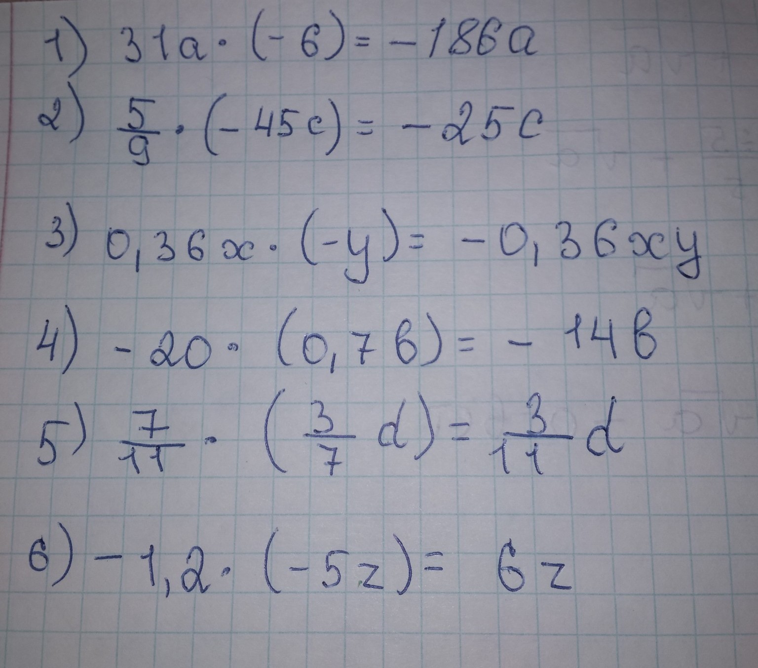
Переобразуйте в тождественно равные выражения.Помогите срочно!
Приложения:
Ответы
Автор ответа:
1
Надеюсь помогла, удачи)Если что пиши)
Приложения:
Похожие вопросы
Предмет: Русский язык,
автор: aloyna5252
Предмет: Алгебра,
автор: tepkeevadan
Предмет: Геометрия,
автор: arslanabdullov7
Предмет: Информатика,
автор: Yakima0
Предмет: Литература,
автор: солнышко195