Предмет: Алгебра,
автор: Ninel007
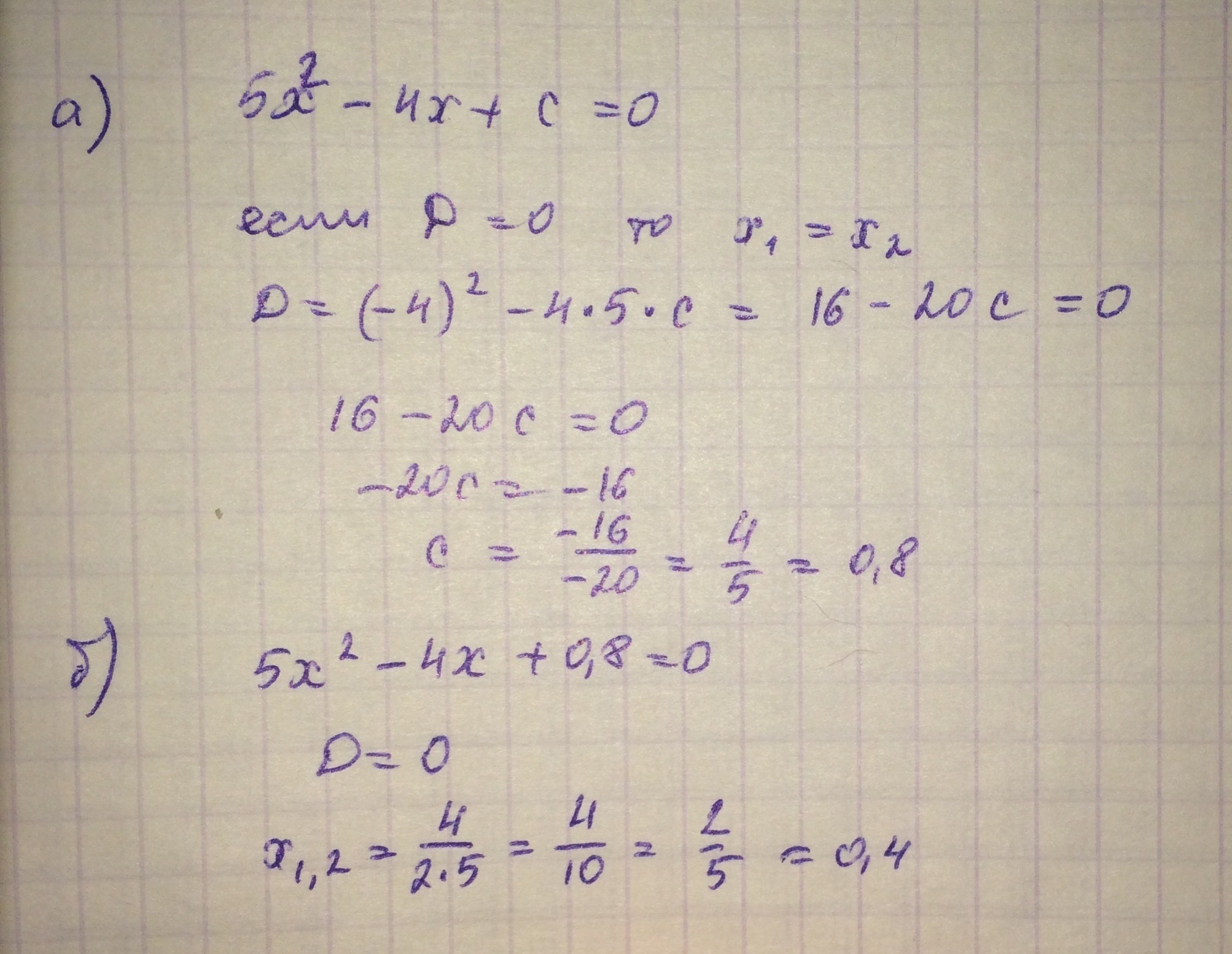
дано квадратное уравнение 
a)при каких значениях параметра С данное уравнение имет два одинаковых действительных корня
b) найдите эти корни уравнения
Ответы
Автор ответа:
11
Если дискриминант квадратного уравнения равен 0, то уравнение имеет 1 корень, или говорят х1 и х2 совпадают.
Приложения:
Lavalik2:
Спасибо большое!
Похожие вопросы
Предмет: Алгебра,
автор: veronika152562
Предмет: Английский язык,
автор: btomiris52ha
Предмет: Английский язык,
автор: vtcepoto
Предмет: История,
автор: dsergik2004
Предмет: История,
автор: Nasty3CMash0kO