Предмет: Математика,
автор: huba58
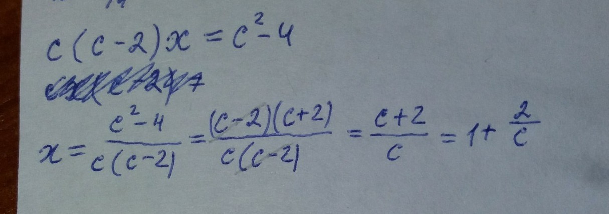
решите относительно x уравнение c(c-2)x=c^2-4
Ответы
Автор ответа:
1
решение на фотографии
Приложения:
Похожие вопросы
Предмет: Математика,
автор: frolovav17
Предмет: Математика,
автор: 89380289426alim
Предмет: Математика,
автор: golovinmark4
Предмет: Алгебра,
автор: Saida6043