Предмет: Алгебра,
автор: mashulkapetrov
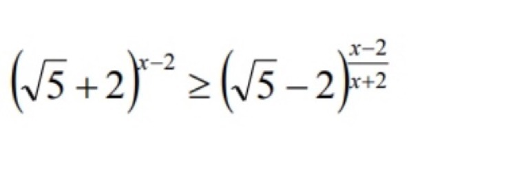
Помогите решить,ответ с логарифмами должен быть
Приложения:
Ответы
Автор ответа:
1
!!!!!!!!!!!!!!!!!!!!!!!
Приложения:
mashulkapetrov:
Спасибо большое
Автор ответа:
0
Почему ответ должен быть с логарифмами? Photomath даёт ответ с логарифмом. Вы там это увидели?
Решение задания приложено
Приложения:
Похожие вопросы
Предмет: Математика,
автор: irinatesla8578
Предмет: Русский язык,
автор: dilnazofficial2776
Предмет: Математика,
автор: Sashaerop8712
Предмет: Математика,
автор: Аноним