Предмет: Алгебра, автор: lfybk92

Помогите решить. Желательно с решением. С заданий с модулем

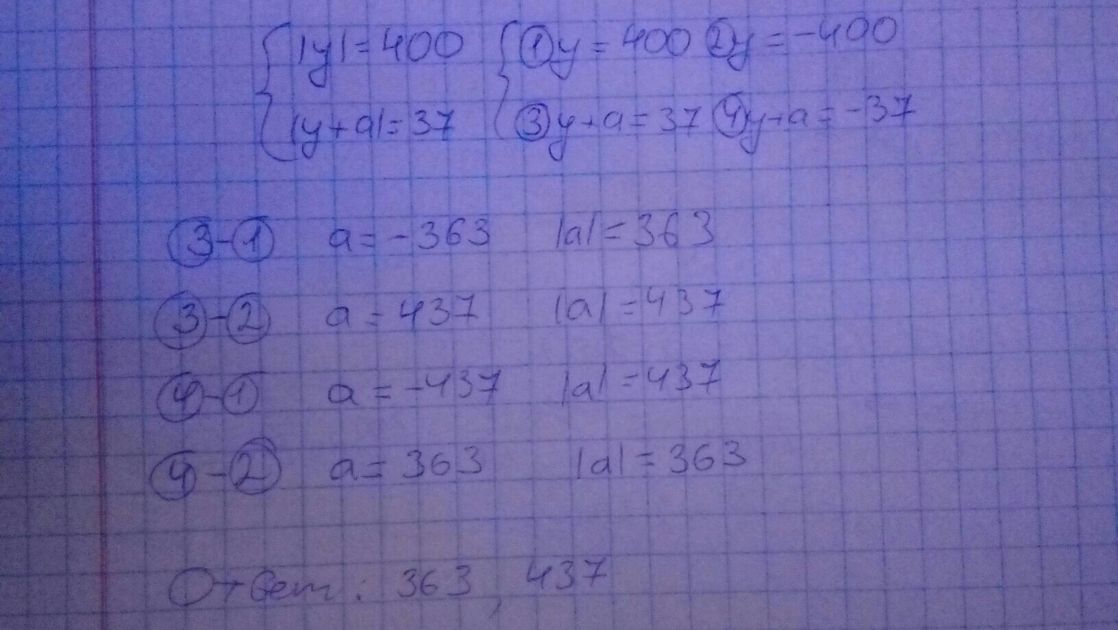
Приложения:

Ответы

Автор ответа: qwerasdfzxcvtgb
1
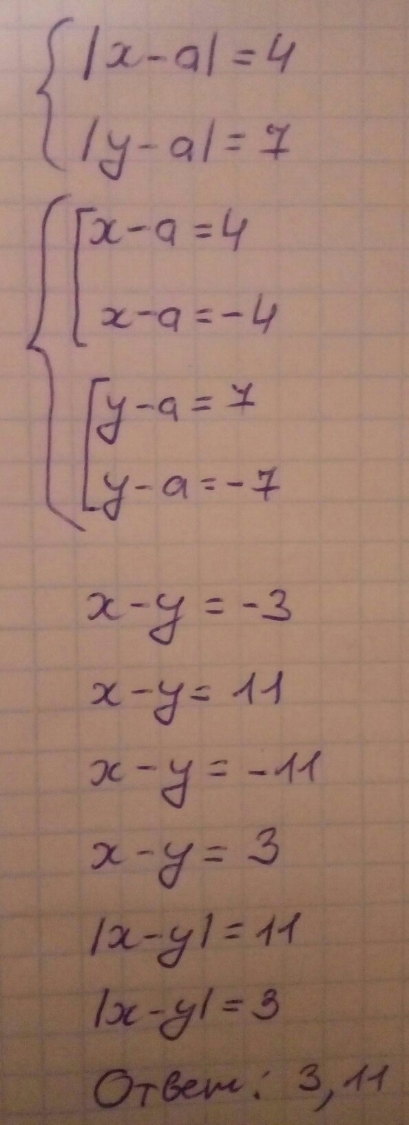
вот б)..................
Приложения:

lfybk92: А можно пожалуйста еще к А решение?
qwerasdfzxcvtgb: Пожалуйста
lfybk92: Спасибо)
Похожие вопросы
Предмет: Русский язык, автор: qqqqq2231
Предмет: Математика, автор: sliiva3516
Предмет: Математика, автор: настюша377
Предмет: Математика, автор: самираоспанова1