Предмет: Алгебра,
автор: patricia72
Помогите пожалуйста.
Нужно решить систему уравнений.
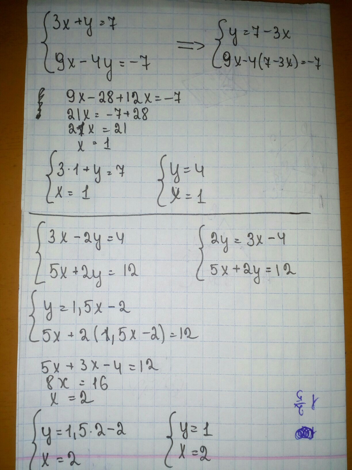
{3х+ у= 7
{9х -4у = -7
{3х -2у =4
{5х +2у = 12
{1/2 (х +у) =8
{1/4 (х -у) =4
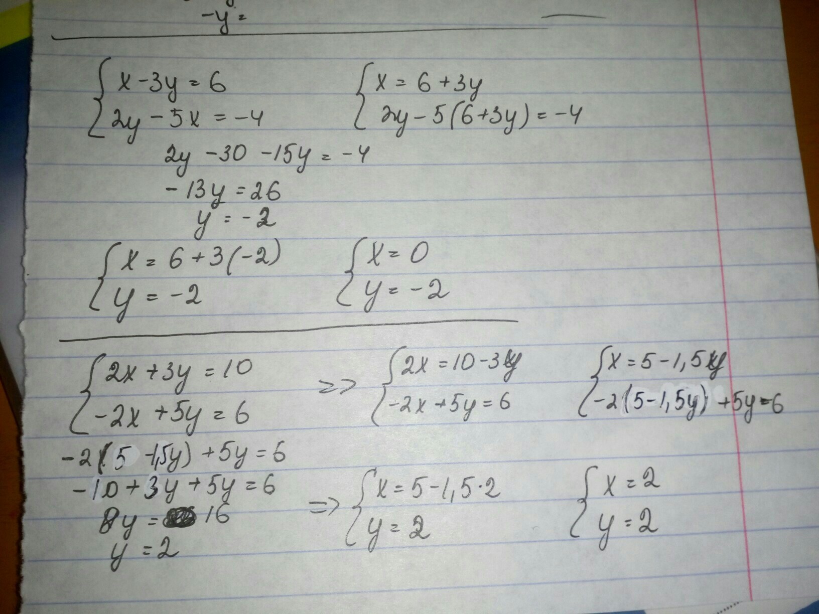
{х -3у =6
{2у -5х = -4
{2х +3у =10
{-2х +5у =6
{1/6 (х +у) =4
{1/3 (х -у) =8
Ответы
Автор ответа:
0
вроде так, если что пиши
Приложения:
Похожие вопросы
Предмет: Русский язык,
автор: Аноним
Предмет: Литература,
автор: erasylmatysov2012
Предмет: Русский язык,
автор: Nika123micha
Предмет: Математика,
автор: ęęęoœ
Предмет: Математика,
автор: ęęęoœ