Предмет: Математика,
автор: marinetteDupen
Ребята помогите мне пожалуйста номер 759(г).
Приложения:
Ответы
Автор ответа:
1
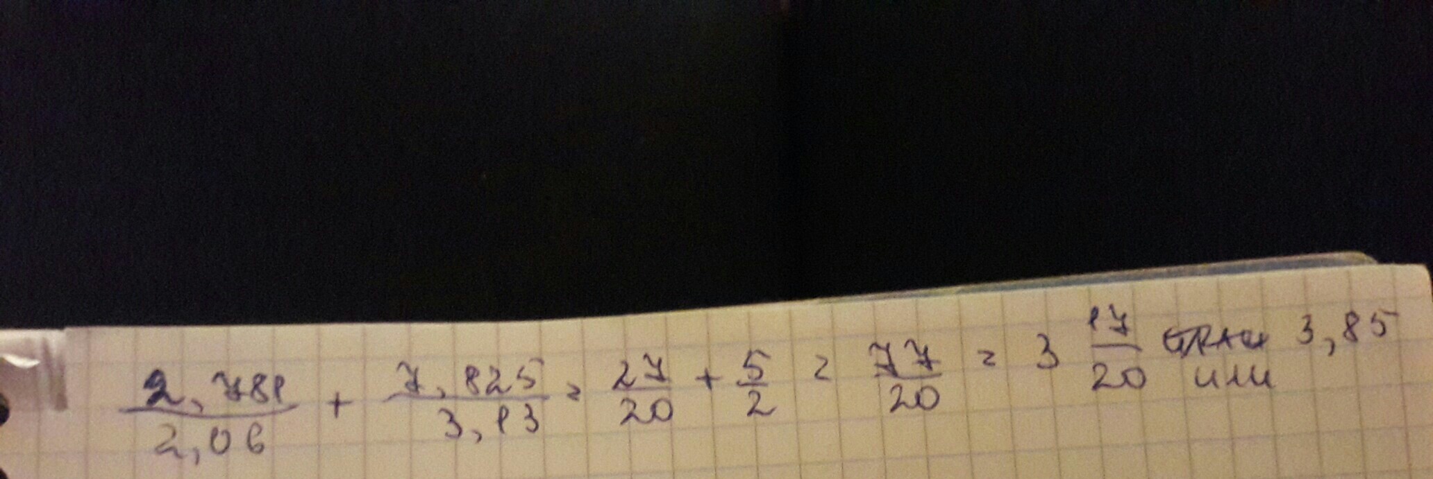
Воть вроде бы так)) ну я так думаю..
Приложения:
Автор ответа:
1
Вот решение. Оно немного сокращено
Приложения:
Похожие вопросы
Предмет: Геометрия,
автор: adelinaramenskaya
Предмет: Математика,
автор: hddliptin
Предмет: История,
автор: nshabancko
Предмет: Литература,
автор: Андрей133701337
Предмет: Химия,
автор: Аноним