Предмет: Алгебра, автор: kirill123033

решите пожалуйста, очень надо

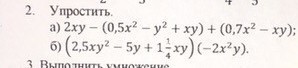
Приложения:

Ответы

Автор ответа: kykyryska0063
0
надеюсь помогла, удачи, если что пиши)
Приложения:
Похожие вопросы
Предмет: Биология, автор: Nikita00987654321
1. Грегора Иоганна Меделя называют отцом генетики, однако его вклад в биологи получил признание только после его смерти, в начале XX в. Г. Мендель разработал и положил в основу своих опытов гибридологический метод. Суть его заключается в скрещивании (гибридизации) организмов, отличающихся друг от друга по одному или нескольким признакам. Однако ученые (Дж. Госс, Огюстен Сажрэ, Ш. Ноден) проводили такие опыты и до Менделя. (а) Объясните, почему именно работы Менделя оказали наибольший вклад в генетику. Для опытов Мендель использовал разные сорта гороха, с пазушными цветками ис верхушечными цветками. Он наносил на рыльца цветков пыльцу с другого растения, все полученные гибриды были с пазушными цветками. (b) Определите генотипы и фенотипы гибридов F2 опыта Менделя, при условии, что они были получены путем самоопыления. Пропишите решение задачи полностью. Установив возможность предсказывать результаты скрещиваний по одной паре альтернативных признаков, Мендель перешел к изучению наследования двух пар таких признаков. (c) Были скрещены между собой горох с гладкими желтыми семенами и морщинистыми зелеными семенами, все полученные гибриды были гладкие и желтые. Определите генотип гибридов F2 при дигибридном скрещивании при самоопылении растений. Пропишите решение задачи полностью. Следует отметить, что в выборе экспериментального объекта Менделю кое в чем просто повезло: в наследовании отобранных им признаков не было ряда более сложных генетических особенностей, таких как неполное доминированиейли кодоминирование.​